******必赢优惠y272net(China)最新App Store
当前位置: 首页 > 在线期刊 > 2024年 > 第3期目录(总第二百零一期) > 正文

教育投入结构、产业结构与经济增长质量

作者:吴伟伟,祝建栋
阅读数:512

来源:《教育与经济》2023年第5期

 

摘 要:我国教育财政投入已进入“后4%时代”,优化教育投入结构,提高其与产业结构的匹配度,是教育提升经济增长质量的重要前提。在厘清教育投入结构及其与产业结构交互作用影响经济增长质量的基础上,以全要素生产率及其构成表征经济增长质量进行实证研究。研究结果表明:偏向高等教育的教育投入结构显著提升了经济增长质量,对全要素生产率及技术效率产生了正向影响;然而,我国目前的产业结构却抑制了经济增长质量的提高,对全要素生产率及技术效率和技术进步均产生了负向影响;教育投入结构与产业结构的交互作用对经济增长质量的影响不显著。因此,为发挥教育投入对经济增长质量的促进作用,应持续优化教育投入结构,通过教育投入引导创新型人才和高技术高技能人才的培养,满足产业结构转型升级对不同层级人力资本的需求。

关键词:教育投入结构;产业结构;经济增长质量;交互作用;固定效应模型


一、引言

中国已经成为全球第二大经济体,GDP总量由1978年的3000多亿元增长到2022年的120多万亿元,但与此同时,也出现了产业结构演进缓慢、生态环境恶化以及贫富差距扩大等问题,在经济发展取得巨大成就的背后,存在着经济快速扩张带来的各种不均衡(黄群慧,2018)[1]。从经济增长的驱动因素来看,改革开放前几十年,要素投入是拉动经济增长的主要因素,由教育投入形成的人力资本对增长及增长质量的贡献有限(中国经济增长前沿课题组等,2015)[2]

我国经济增长已逐步进入增速放缓、结构调整的“新常态”,为规避陷入“中等收入陷阱”的风险,保持经济的持续增长,提高经济增长质量是必然要求。党的二十大报告明确指出,要坚持以推动高质量发展为主题,着力提高全要素生产率,推动经济实现质的有效提升和量的合理增长。在新的经济发展阶段以及复杂经济发展环境下,高质量增长面临多重约束,要突破传统发展模式,提高经济增长质量,必须深刻检视包括教育投入在内的影响增长质量的诸多因素,科学制定和完善经济增长的激励政策。

教育投入是影响经济增长质量的重要因素。当前,我国各级政府将教育发展提升到了前所未有的高度,持续增加教育投入,为实施科教兴国、人才强国、创新驱动等发展战略提供财力支持,助力高质量增长。然而,教育投入要达到预期的增长效应不但取决于投入总量,还与教育投入在不同层级、不同类型教育间的分配密切相关,若教育投入只鼓励教育的外延式扩张而忽略结构优化,可能极大制约教育发展的增长效应。因此,要制定合理的教育投入政策,提高经济增长质量,有必要科学认知教育投入结构的增长质量效应。本文从教育投入结构、产业结构及两者的交互作用角度,探究其对经济增长质量而非增长本身的影响,为制定教育强国、高质量发展的激励政策提供参考。

二、文献综述

经济增长是数量与质量的统一,对增长质量的研究是增长理论的拓展和深化。20世纪70年代,科内尔(1971)开启了经济增长质量的研究,提出“和谐增长”概念,从“人文”和“物质”两个方面讨论增长质量的内涵,研究的具体问题涉及消费、收入分配、教育、经济结构、生产技术和资源利用等12个方面[3]。卡马耶夫(1977)将增长质量定义为“产品质量的提高、生产资料效率的提高、消费效果的增长”[4]。Thomas(2000)认为增长质量是增长的关键,包括机会的分配、环境的可持续性、全球性风险管理以及治理结构等[5]。Barro(2002)指出增长质量应包括受教育水平、预期寿命、健康状况、法律和秩序发展的程度、收入不平等等[6]。20世纪90年代中期开始,国内关于经济增长质量的研究逐渐增加,从影响因素、增长过程和增长结果等方面研究增长质量(郭克莎,1995;任保平,2012)[7][8]

广义的增长质量实际上已大致揭示了增长质量的变化过程及其影响因素。在经济增长的初期阶段,物质资本的稀缺性导致其对经济增长的边际贡献较高,过度倚重于企业固定资产投资的增长容易导致不良资产、高能耗和环境污染(Smith&Krutilla,1984)[9],同时也可能引发企业投资波动与经济增减波动的叠加效应,破坏增长的稳定性(Fisher,2006)[10]。郎丽华和周明生(2012)将我国改革开放之后30多年的经济增长描述为“高投入、高能耗、高物耗、高污染、低效率”,要素投入拉动的增长显著降低了增长质量[11]。郝颖等(2014)研究发现企业投资活动对增长质量的影响与地区经济规模、发展水平和企业属性有关[12]

基于人力资本理论和增长理论,关于教育投入影响经济增长质量的研究逐渐丰富。一般认为由教育形成的人力资本积累和技术创新外溢可以有效促进增长质量的提高(Romer,1990;刘海英等,2004)[13][14]。詹新宇和刘文彬(2019)通过构建双向固定效应模型,研究发现财政性教育投入对经济增长质量的影响显著为正[15]。杨万平等(2020)基于EBM距离函数和DEA模型,将非径向投入导向型方向性距离函数与Luenberger生产率指数相结合,研究发现教育投入对以绿色全要素生产率表征增长质量的影响呈现出中部高、东西部低的格局[16]。Benhabib&Spiegel(1994)、张玉鹏和王茜(2011)等研究也得出了教育投入增加能够显著提升全要素生产率的结论[17][18]。张长征和李怀祖(2006)认为教育公平有助于促进社会与经济的和谐发展,提高增长质量[19]

关于教育投入影响经济增长质量的研究结论实际上也存在一些争议(Lopez&Thomas,1998)[20],王善迈(1996)认为教育投入对经济增长的作用会因教育人才结构与产业结构的匹配度不同而呈现差异[21]。纪雯雯和赖德胜(2015)认为若政府对不同层次教育的投入比例失衡,会负向影响产业结构的升级路径,不利于提高增长质量[22]。闵维方(2017)认为当产业结构由劳动密集型向资本密集型转变时,教育投入结构应该偏向于培养具有更高知识技能水平的劳动力,促进产业结构转型升级[23]。陈晋玲和张靖(2019)研究发现东部地区高等教育形成的人力资本对产业结构升级的促进作用更大,有利于经济结构的转型升级[24]。Gemmell(1996)利用跨国样本数据,研究发现发达国家高等教育投入对经济增长的促进作用明显高于发展中国家,原因在于教育投入结构与产业结构匹配度差异[25]。Petrakis&Stamatakis(2002)也得出了相似的结论,认为教育投入与产业结构的匹配度越高,对经济增长的促进效应越显著[26]

已有研究通常仅单独讨论教育投入、产业结构对经济增长质量的影响,关注二者交互作用对增长质量影响的研究相对较少。相较之下,本文可能的创新之处在于从教育投入结构而非投入总量角度探讨教育的经济增长效应,同时将教育投入结构与产业结构纳入同一研究框架,考虑两者产生的交互作用对增长质量的影响,在追求高质量增长的政策导向下,探讨教育投入与增长质量的非线性关系。

三、理论分析

人力资本是教育投入影响增长质量的主要路径,即可以通过增加人力资本存量提高劳动生产效率促进经济增长,也可以通过提高研发水平促进技术进步和科技创新,甚至还可以通过与其他生产要素形成互补效应促进经济增长(杜育红和赵冉,2020)[27]。经典理论认为教育投入可以通过影响劳动力的人力资本水平影响其边际产出,从而节约劳动力要素投入,提高产出水平。内生增长理论将人力资本纳入增长模型,认为由于人力资本可以产生知识溢出效应和“干中学”效应,是推动产品和技术创新的内生动力,可以保持经济的稳定增长。教育投入是人力资本最重要的投资方式,通过形成人力资本积累驱动经济高质量增长,以高等教育为例,其职能兼具人才培养和科学研究,对高层级人力资本形成和科技创新产生直接的推动作用。

严格假定下,教育投入与经济增长质量正相关,但是教育投入产生的增长质量效应与教育投入结构、教育制度、人才培养模式等因素密切相关,尤其教育投入结构与产业结构的匹配程度是影响其增长质量效应的主要制约因素。不同层级和不同类型教育投入所形成的人力资本存在显著差异,由教育投入结构决定的教育类型和层级安排是决定人力资本结构的基础,也是产业结构转型升级的前置条件。在以公立教育为主的国家,如果政府对产业结构调整具有准确预期,则可以通过财政性教育投入偏向引导教育发展趋势,降低适应新型产业结构的人力资本成本,提高经济增长质量。在产业结构向更高层级转型的过程中,如果受教育投入结构错位的影响,或者因教育投入结构和人力资本结构调整具有的滞后性,若劳动力供给主要以未受过高等教育或职业技能培训的劳动者为主,那么教育投入结构与产业结构不匹配可能导致人力资本稀缺或过度教育,无法解决产业发展对人力资本的需求,从而降低生产要素的配置效率,教育财政投入也因无法弥补有效人力资本供给不足而不能充分发挥对增长质量的正向促进作用。

四、实证研究

(一)指标选择

1.被解释变量:全要素生产率、技术效率和技术进步

根据对经济增长质量不同的定义,可以构建综合性指标对其进行评价。比如,从要素生产效率、经济增长率、产业结构、消费水平、自然资源的有效利用率、企业竞争力等角度评价增长质量;也可以从产品和服务的品质角度定义增长质量,满足社会需求能力越强的经济,增长质量越高,包括持续的增长、投入产出效率、经济结构优化、质量标准和社会福利水平等(程虹、李丹丹,2014)[28]。朱方明和贺立龙(2014)认为增长质量是指一定时期内新增加的经济活动及其成果的质量,可从投入要素的质量、经济活动过程的质量、经济成果的质量和环境质量四个维度进行考查[29]。叶初升和李慧(2014)基于阿马蒂亚·森的“可行能力”理论,认为增长质量的提升体现为由增长带来的“可行能力”的提高[30]。以上研究均可成为构建经济增长质量评价指标的依据。

经济增长质量的综合评价指标虽然可以全面体现增长质量的不同构成,但不利于进行理论和实证层面的因果关系分析。由于本文主要关注经济增长质量,依据新古典经济增长理论,将生产要素之外其他影响经济增长的因素归总为全要素生产率。在相同的要素投入水平下,全要素生产率越高,经济产出越大,因此全要素生产率是评价增长质量的有效指标之一。蔡跃洲和付一夫(2017)认为经济增长质量主要体现为全要素生产率,包括要素配置效率、技术效率等[31]。虽然仅用全要素生产率评价增长质量具有一定的片面性,但实际上全要素生产率提高可以影响经济增长质量的其他方面,比如生态环境、社会福利、收入分配等。鉴于此,本文以全要素生产率表征经济增长质量(tfp)。

全要素生产率测算方法包括索洛余量法、随机前沿函数法和数据包络分析法。为反应全要素生产率的结构,本文使用DEA-Malmquist指数法测算全要素生产率,并将之分解为技术效率(eff)和技术进步(tech),以便实证分析对全要素生产率不同构成部分的影响。

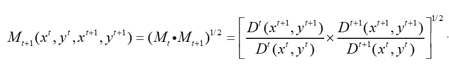
Malmquist指数测算从t到t+1期TFP的变动情况,计算公式为:

      undefined 

其中,x代表要素投入,y代表产出。产出是指以1999年为基期测算的实际GDP,投入要素以固定资本存量(K)和劳动投入(L)衡量,其中K以1999年为基期借鉴张军等(2004)的方法计算[32],L为各省年末从业人员数量。当Malmquist指数大于1时,意味着全要素生产率较前一期得到了提升,即经济增长质量提高,反之则意味着增长质量下降。

2.核心解释变量:教育投入结构、产业结构及两者的交互项

(1)教育投入结构。教育投入结构涉及的教育类型包括高等教育、基础教育和职业教育,借鉴刘新荣和占玲芳(2013)的研究定义教育投入结构变量(str)[33],采用预算内生均教育经费支出(地方普通高等学校)作为高等教育投入的代理变量,预算内生均教育经费支出(地方普通中等学校和地方普通小学)来作为基础教育投入的代理变量,预算内生均教育经费支出(高职高专学校、技工学校等)来作为职业教育投入的代理变量。计算公式如下:

str=高等教育经费投入/(基础教育经费投入+职业教育经费投入)

(2)产业结构。产业结构体现的是生产要素在不同产业间的配置,要素配置效率直接影响了产业的全要素生产率即增长质量。产业结构升级通过重置生产要素、技术进步外溢以及多样化分工等方式影响经济增长质量(余泳泽等,2016)[34],当且仅当生产要素由低效率产业流向高效率产业时,才能保证全要素生产率提高(邓创和付蓉,2017;殷红等,2020)[35][36]。多样化分工和多部门协同的产业结构能最大限度发挥整体生产效率,提高规模效率,实现增长质量的提升。但是产业结构演进与增长质量并不一定呈现严格正相关(贾洪文等,2021)[37],合乎经济规律的产业结构演进才能在更高的增长水平上促进增长质量。

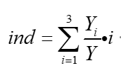
产业结构变动可分为高级化和合理化,本文参照汪伟等(2015)的研究[38],采用产业结构高级化作为产业结构转型升级的评价指标,具体指三次产业在国民经济中的占比,可以比较全面地反映产业结构的变动方向。计算公式如下:

      undefined 

其中,ind为产业结构高级化指数,Y为产出水平,i表示产业部门。

3.控制变量。为了使参数估计结果更加可靠,回归分析模型对影响全要素生产率的其他因素进行控制,选取地区经济发展水平、基础设施、市场化水平、开放程度、城镇化水平作为控制变量。

(1)地区经济发展水平(gdp),用实际人均gdp表示。经济发展水平越高的地区具有更强的财力改善发展条件,支持经济结构调整,提高经济增长质量。但是,经济发展水平高的地区,也有可能因为过度依赖于良好的禀赋资源和区位条件而忽略经济增长质量。

(2)基础设施(inf),用各省单位国土面积公路里程数即公路分布密度表示,密度越大说明基础设施越完善。一般而言,完善的基础设施会吸引更多资本流入,提高资源配置效率,提升经济增长质量。

(3)市场化水平(mar),用王小鲁等(2021)计算得出的市场化指数表示[39]。中国的市场化改革极大地改善了资源配置效率,提升了经济增长质量。

(4)开放程度(op),用国际贸易规模表示。经济全球化使得国际间的经济联系越来越紧密,一国经济增长容易受到国际经济波动的影响。理论上来讲,对外开放程度越高,越有助于促进国际要素流动和全球产业价值链的形成,提高经济增长质量。

(5)城镇化水平(urb),采用各省城镇人口数量占总人口数量的比重来表示。城镇化水平体现了资源向城市集中的程度,也体现了资源在城市与农村之间的再分配,是资源配置效率和增长质量的重要影响因素。

(二)数据说明

实证分析数据来源于2000-2017年《中国教育经费统计年鉴》《中国劳动统计年鉴》《中国人口和就业统计年鉴》、各省历年统计年鉴、中国国家统计局统计数据库等,部分缺失的数据用中国经济与社会发展统计数据库中的相关数据进行补充,无法获取的个别缺失值使用插值法进行补齐。样本数据中不包括西藏和港澳台数据。各变量的描述性统计分析结果参见表1(表1略)。

(三)基准计量模型

为分析教育投入结构与产业结构的交互作用对经济增长质量的影响,实证分析模型中加入了两者的交互项,基准计量模型如下:

lntfpiti1lnstrit2lnindit3(lnstrit×lnindit)+γlnXitit

其中,i代表省份,t代表时间,lnstrit×lnindit代表教育投入结构与产业结构的交互项,αi代表固定效应,Xit代表一组控制变量,εit代表残差项。在参数估计中,为了使回归结果更加准确,减少异方差带来的影响,对所有变量均进行了取对数处理。

(四)实证结果分析

首先,对样本数据进行LR检验和Hausman检验,检验结果拒绝随机效应模型的原假设,因此利用固定效应面板数据模型估计参数。

1.基准回归结果分析

表2(表2略)给出了以全要素生产率为被解释变量的模型参数估计结果。从模型(1)来看,在没有加入任何控制变量的情况下,教育投入结构与产业结构的系数估计值分别为0.066和-1.330,并且均在1%的显著性水平上通过了检验,表明偏向高等教育的教育投入结构能够促进经济高质量增长,但是产业结构却产生了负向影响,抑制了经济增长质量的提高。改革开放之后,我国高等教育规模逐步扩大、教育质量也有所提升,尤其是在20世纪末高考扩招之后,高等教育逐渐摆脱仅限少数人群的精英教育模式,毛入学率明显提高,为经济发展提供了人力资本储备,也适度弥补了农村剩余劳动力减少造成的生产效率下降。另外,我国较长时间处于经济增长的起步阶段,劳动-资本要素配比失衡,大学毕业生进入劳动力市场能够优化要素投入结构,提高要素配置效率。相较于教育投入结构,产业结构对经济增长质量产生抑制效应的原因可能源于当前我国所处的经济发展阶段,产业结构调整通常来源于政府的强激励,产业演进过程可能有所偏离于由市场机制引导的结构调整过程,导致增长质量改善不显著。第二和第三产业虽然发展迅速,吸引了较多资源集聚,但产业效率有可能增长缓慢,造成整体资源配置效率下降。

从模型(2)和模型(3)的参数估计结果来看,地区经济发展水平、基础设施以及市场化水平等因素显著影响了经济增长质量。经济发展水平的系数估计值显著为正,表明经济发展水平越高,经济增长质量越高。基础设施的系数估计值显著为负,说明基础设施改善还未充分发挥出促进经济高质量增长的作用,可能与基础设施的结构相关,或者其产生的增长质量效应存在一定时滞。市场化水平对经济增长质量的影响显著为正,系数估计值在10%的显著性水平上通过检验,表明市场化水平的提高有利于经济高质量增长。

模型(4)~(6)加入了教育投入结构和产业结构的交互项,从参数估计结果来看,教育投入结构的系数估计值依然在5%的显著性水平上通过检验,产业结构的系数估计值依然显著为负,其他控制变量的显著性水平变化不大。交互项的系数估计值为负,但没有通过显著性检验,说明教育投入结构与产业结构的交互作用对增长质量的影响不显著。

2.分维度回归结果分析

接下来以全要素生产率的构成(技术效率和技术进步)为被解释变量进行回归分析,参数估计结果见表3(表3略)。

表3中模型(1)和模型(2)是以技术效率为被解释变量的参数估计结果。可以发现未加入交互项时,教育投入结构对技术效率的影响显著为正,产业结构对技术效率的影响显著为负。将教育投入结构和产业结构的交互项加入回归分析模型之后,教育投入结构和产业结构的参数估计结果变化不大,交互项没有通过显著性检验,说明两者的交互作用对增长质量没有产生显著影响。

模型(3)和模型(4)是以技术进步为被解释变量的参数估计结果。在没有加入交互项时,教育投入结构的系数估计值没有通过显著性检验,产业结构的系数估计值在1%的显著性水平上通过了检验,系数值为负,说明偏向高等教育的教育投入结构对技术进步没有产生显著影响,而产业结构对技术进步产生了显著的负向影响,这与前文的回归分析结果基本一致。加入教育投入结构与产业结构的交互项之后,交互项没有通过显著性检验,核心解释变量的参数估计结果没有显著变化。

(五)稳健性检验

由于无法将影响经济增长质量的因素全部包含在实证分析模型中,加之各变量之间也可能存在的相互影响,如经济增长质量较高的省份,其偏向高等教育的财政投入比例可能更高,产业结构层级也可能更高,导致实证分析可能面临内生性问题。为此,通过加入滞后一期值、弱内生性样本、替换其他变量三种方法对基准模型的参数估计结果进行稳健性检验。

首先,借鉴常规方法,采用教育投入结构与产业结构的一阶滞后项进行稳健性检验,然后以弱内生性样本以及考虑产业结构合理化指标(作为基准回归分析中产业结构高级化的工具变量)两种方法进一步进行稳健性检验,检验结果参见表4(表4略)。

1.加入滞后一期值。考虑到教育投入、产业结构对经济增长质量的影响可能存在时滞效应,以教育投入结构和产业结构的滞后一期值为工具变量,检验基准回归结果的稳健性。表4模型(1)的参数估计结果显示,相比基准回归,虽然各参数估计结果的显著性有所降低,但符号与基准模型中参数估计结果保持一致,教育投入结构正向影响经济增长质量,但时滞效应不明显,产业结构对经济增长质量产生了抑制作用。

2.弱内生性样本。我国幅员辽阔,各地经济发展禀赋存在显著差异,经济发展进程不同,区域发展不平衡。利用以东西部地区为代表的弱内生性样本进行回归分析,发现教育投入结构的参数估计结果显著性水平虽然有所降低,但符号未发生变化,产业结构的参数估计结果依然显著为负,与基准回归分析模型中的参数估计结果保持一致,说明参数估计结果是稳健的。

3.更换产业结构的代理变量,使用产业结构的另一评价指标——产业结构合理化进行回归分析,计算方法参考干春晖等(2011)[40]。参数估计结果显示,核心解释变量的参数估计结果均与基准回归结果保持一致。

五、结论与政策建议

本文主要探讨了教育投入结构、产业结构及其交互项对经济增长质量的影响,测算了教育投入结构、产业结构以及表征增长质量的全要素生产率及其构成等指标,在理论分析的基础上,基于省级面板数据进行了实证分析。理论分析认为教育投入结构可以通过影响人力资本结构及其与产业结构的匹配度影响经济增长质量。实证分析结果表明,偏向高等教育的教育投入结构显著提高了以全要素生产率为表征的经济增长质量,同时也对技术效率产生了显著的促进作用。实证分析同时也发现我国目前的产业结构显著负向影响了全要素生产率及技术效率和技术进步,抑制了我国经济增长质量提高,教育投入结构和产业结构的交互作用未对全要素生产率即经济增长质量产生显著影响。

为充分发挥教育投入对经济增长质量的促进作用,基于本文的研究结论,提出以下政策建议:

第一,在继续加大教育财政投入的基础上,优化教育投入结构,在不同类型和不同层级教育之间合理配置教育资源。我国总体教育投入偏低是不争的事实,中央和地方各级政府需进一步加大财政性教育投入,着力提升教育质量,推动教育内涵式发展。通过优化教育投入结构,在增加人力资本存量的同时,改善人力资本结构,为知识进步、科技创新、产品研发等提供智力支持。

第二,关注教育投入结构与产业结构的匹配性,充分重视教育投入结构与产业结构的交互作用对增长质量的影响。优化教育投入结构,适度增加职业教育投入,通过教育投入引导创新型人才和高技术高技能人才的培养,满足产业结构转型升级对不同层级人力资本的需求。不同地区应充分考虑本地产业结构对人才需求的区域特征,实行差异化的教育投入政策。

第三,在推动产业结构转型升级的同时,关注其对要素配置效率的影响。各级政府在制定产业发展政策时,需严格规范要素和商品交易市场,发挥市场在要素配置中的基础性作用,通过价格机制引导生产要素在产业间的合理分配。落实创新驱动发展战略,在推动产业结构高级化和合理化的同时,使其与本地资源禀赋、发展水平和技术水平相一致。


注释:

①教育促进经济增长得到了大量经验研究的支持,实际上较多已有研究本质上探讨的就是教育对增长质量的影响。


参考文献:

[1]黄群慧.改革开放40年经济高速增长的成就与转向高质量发展的战略举措[J].经济论坛,2018(7).

[2]中国经济增长前沿课题组,张平,刘霞辉,等.突破经济增长减速的新要素供给理论、体制与政策选择[J].经济研究,2015(11).

[3]科内尔.突进与和谐的增长[M].张晓光,潘佐红,靳平,等,译.北京:经济科学出版社,1988:62-65.

[4]卡马耶夫.经济增长的速度和质量[M].陈华山,译.武汉:湖北人民出版社,1983:25-26.

[5]THOMAS V. The quality of growth[M]. Washington DC: World Bank, 2000.

[6]BARRO R J. Quantity and quality of economic growth[J]. Working papers of Central Bank of Chile, 2002(2).

[7]郭克莎.实施合理的宏观经济政策推动经济增长方式的转变[J].首都经济,1995(12).

[8]任保平.经济增长质量:理论阐释、基本命题与伦理原则[J].学术月刊,2012(2).

[9]SMITH V K, KRUTILLA J V. Economic growth, resource availability, and environmental quality[J]. American economic review, 1984(2).

[10]FISHER, JONAS D M. The dynamic effects of neutral and investment-specific technology shocks[J]. Journal of political economy, 2006(3).

[11]郎丽华,周明生.结构性改革与宏观经济稳定——中国经济增长与周期(2012)国际高峰论坛综述[J].经济研究,2012(8).

[12]郝颖,辛清泉,刘星.地区差异、企业投资与经济增长质量[J].经济研究,2014(3).

[13]ROMER P M. Endogenous technological change[J]. Journal of political economy, 1990(5).

[14]刘海英,赵英才,张纯洪.人力资本“均化”与中国经济增长质量关系研究[J].管理世界,2004(11).

[15]詹新宇,刘文彬.中国财政性教育支出的经济增长质量效应研究——基于“五大发展理念”的视角[J].教育与经济,2019(1).

[16]杨万平,赵金凯,卞淑云.教育人力资本对中国绿色经济增长的贡献研究[J].教育与经济,2020(2).

[17]BENHABIB J, SPIEGEL M M. The role of human capital in economic development evidence from aggregate cross-country data[J]. Journal of monetary economics, 1994(2).

[18]张玉鹏,王茜.人力资本构成、生产率差距与全要素生产率——基于中国省级面板数据的分析[J].经济理论与经济管理,2011(12).

[19]张长征,李怀祖.研发团队异质性与报酬模式对研发效率的影响分析[J].科学学与科学技术管理,2006(3).

[20]LOPEZ R V, THOMAS W Y. Addressing the education puzzle: the distribution of education and economic reforms[R]. Washington D.C.: World Bank, 1998.

[21]王善迈.教育投入与产出研究[M].石家庄:河北教育出版社,1996:59-62.

[22]纪雯雯,赖德胜.人力资本、配置效率及全要素生产率变化[J].经济与管理研究,2015(6).

[23]闵维方.教育促进经济增长的作用机制研究[J].北京大学教育评论,2017(3).

[24]陈晋玲,张靖.教育层次结构与产业结构优化效应的统计测度[J].科学学研究,2019(11)

[25]GEMMELL N. Evaluating the impacts of human capital stocks and accumulation on economic growth[J]. Oxford bulletin of economics and statistics, 1996(1).

[26]PETRAKIS P E, STAMATAKIS D. Growth and educational levels: a comparative analysis[J]. Economics of education review, 2002(5).

[27]杜育红,赵冉.教育对经济增长的贡献——理论与方法的演变及其启示[J].北京师范大学学报(社会科学版),2020(4).

[28]程虹,李丹丹.一个关于宏观经济增长质量的一般理论——基于微观产品质量的解释[J].武汉大学学报(哲学社会科学版),2014(3).

[29]朱方明,贺立龙.经济增长质量:一个新的诠释及中国现实考量[J].马克思主义研究,2014(1).

[30]叶初升,李慧.以发展看经济增长质量:概念、测度方法与实证分析——一种发展经济学的微观视角[J].经济理论与经济管理,2014(12).

[31]蔡跃洲,付一夫.全要素生产率增长中的技术效应与结构效应——基于中国宏观和产业数据的测算及分解[J].经济研究,2017(1).

[32]张军,吴桂英,张吉鹏.中国省际物质资本存量估算:1952-2000[J].经济研究,2004(10).

[33]刘新荣,占玲芳.教育投入及其结构对中国经济增长的影响[J].教育与经济,2013(3).

[34]余泳泽,刘冉,杨晓章.我国产业结构升级对全要素生产率的影响研究[J].产经评论,2016(4).

[35]邓创,付蓉.中国财政性教育经费投入对产业结构的非线性影响[J].教育与经济,2017(5).

[36]殷红,张龙,叶祥松.中国产业结构调整对全要素生产率的时变效应[J].世界经济,2020(1).

[37]贾洪文,张伍涛,盘业哲.科技创新、产业结构升级与经济高质量发展[J].上海经济研究,2021(5).

[38]汪伟,刘玉飞,彭冬冬.人口老龄化的产业结构升级效应研究[J].中国工业经济,2015(11).

[39]王小鲁,胡李鹏,樊纲.中国分省份市场化指数报告(2021)[M].北京:社会科学文献出版社,2021:32-40.

[40]干春晖,郑若谷,余典范.中国产业结构变迁对经济增长和波动的影响[J].经济研究,2011(5).


Structure of Educational Investment, Industrial Structure and Economic Growth Quality

WeiweiWu JiandongZhu


Abstract: Financial investment of education in China has entered the “post 4% era”. Optimizing the structure of educational investment and improving its matching with the industrial structure are the prerequisites for exerting educational investment to promote the quality of economic growth. On the basis of clarifying the impact of education investment structure and its interaction with industrial structure on the quality of economic growth, this paper conducts an empirical study with total factor productivity and its compositions as the explanatory variables. The results show that: (1) educational investment structure is biased towards higher education significantly promotes the quality of economic growth, and has a positive impact on total factor productivity and technical efficiency; (2) however, the industrial structure inhibits the improvement of economic growth quality, and has a significant negative impact on total factor productivity, technical efficiency and technological progress; (3) the interaction between educational investment structure and industrial structure has no significant impact on economic growth quality. Therefore, in order to exert the promoting effect of educational investment on the quality of economic growth, it is necessary to continuously optimize the investment structure of education and guide the cultivation of innovative talents and high-tech and high skilled talents through educational investment to meet the needs of different levels of human capital for industrial structure transformation and upgrading.

Key words: structure of educational investment; industrial structure; economic growth quality; interaction effect; fixed effect model


初审:王远琦

复审:孙振东

终审:蒋立松


版权所有 |必赢优惠y272net在线 京ICP备1234567号 在线人数1234人