摘 要:为探究我国民族地区学前教育师资配置差异状况,采用泰尔指数模型分析《中国教育统计年鉴》相关数据,发现当前我国民族地区学前教师数量配置缺口较大,质量及结构配置失调;城区、镇区及乡村之间在教师质量与结构配置上存在较大差异;民族地区学前教师在数量、质量及结构配置上与全国平均水平之间的差异贡献率均高于民族地区城区、镇区及乡村之间的差异贡献率。基于弱势补偿理论分析,可知其原因主要在于民族地区幼儿园管理者缺乏科学的教育理念,民族地区学前教育教师队伍建设监管体系不够健全,国家对民族地区学前教育的经济投入与政策倾斜力度均较有限。据此建议,要完善民族地区幼儿园管理者及教师的专业素质培养体系,健全民族地区学前教育教师队伍建设的监督体系,并加强民族地区学前教育的经济投入与政策倾斜。
关键词:民族地区;学前教育;教师资源;资源配置;泰尔指数
一、问题提出
据中国教育统计年鉴数据,我国学前教育毛入园率已达88.1%,实现了学前教育的高度普及化[1]。随着“中国式现代化”发展目标的提出,我国教育发展重心从高速发展转变为高质量发展。2018年《中共中央国务院关于学前教育深化改革规范发展的若干意见》指出要“大力加强幼儿园教师队伍建设”“严格教师队伍管理”“切实把好幼儿园园长、教师入口关”。2023年6月中共中央办公厅、国务院办公厅印发的《关于构建优质均衡的基本公共教育服务体系的意见》也明确强调要“以公益普惠和优质均衡为基本方向,全面提高基本公共教育服务水平,加快建设教育强国,办好人民满意的教育”。在此背景下,学前教育阶段作为教育高质量发展的起点,民族地区作为教育高质量发展的重点,城乡差异作为教育高质量发展的痛点,教师作为教育高质量发展的一线执行者,以学前教育师资配置为切入点分析民族地区学前教育中存在的问题,有助于民族地区学前教育均衡资源配置,实现教育高质量发展。
梳理已有文献可知,我国学界对学前教育师资配置的研究主要从现实困境与疏解这一层面展开,已有研究的主要区别在于学者选取的研究区域不同。一些研究关注县域比较,诸如选取新疆维吾尔自治区M县71所幼儿园为研究对象,分析幼儿园教师资源在县域内不同行政区域间的分布特征与配置状况[2]。也有研究对广西壮族自治区内108个县域间幼儿园教师资源配置差异情况进行了比较分析[3]。还有研究聚焦城乡差异,进行全国范围师资配置的城乡差异调研分析,如基于教育公平视角对我国城乡幼儿师资配置进行差异性比较[3]。此外,虽然不同学者考察现状的细分维度略有不同,但普遍选取教师数量、教师质量、教师结构三个维度。具体而言,在教师数量上,主要是从师生比这一相对数量比进行衡量;教师质量和教师结构上,更多从教师职称、学历、年龄、教龄、培训情况等方面进行对比分析[3][4][5][6]。
总的来看,已有文献在研究地域上仅聚焦局部地区,缺乏全局性考察,如针对全国民族地区的城乡差异分析较少;资源配置的指标构建不全面,如在师幼比的构建上,多关注专任教师与幼儿数之比是否达标,而忽视保育员与幼儿数之比;在分析方法上,多用频数、标准差等方法分析学前教育阶段师资配置差异,缺乏采用泰尔指数、基尼系数等分析工具展开更为科学、准确的差异分析。由此,本研究基于泰尔指数从教师数量、教师结构和教师质量三个维度对民族地区的城区、镇区、乡村在学前教育教师资源配置方面进行区域内及区域间的差异分析,以期更科学、客观、全面地反映我国民族地区城乡学前教育师资配置中存在的问题,并提出相应建议,为中国高质量教育生态环境的营造提供有益参考。
二、研究设计
本研究中的民族地区特指内蒙古自治区、宁夏回族自治区、新疆维吾尔自治区、西藏自治区和广西壮族自治区5个少数民族自治区及我国少数民族分布最为集中的贵州、云南和青海3省。研究以泰尔指数分析模型为分析工具,对我国民族地区学前教育教师资源配置的公平性、均衡性进行分析,以下将从数据来源、研究指标及基于泰尔指数计算公式所构建的适合本研究的泰尔指数分析模型三个部分进行研究设计的论述。
(一)数据来源
研究数据主要来源于2022年12月出版的由中华人民共和国教育部发展规划司编撰的《中国教育统计年鉴2021》[1]。
该数据涵盖全国各省份各级各类学校规模,学生数量,教师数量、学历及职称等情况(见表1),能为本研究提供较为全面且准确的数据基础。

(二)研究指标
根据上文分析,学界普遍以教师数量、教师质量、教师结构为分析维度,笔者在该分析框架基础上增添了细分维度,具体分析维度指标如下:
在教师数量上,本研究采用师幼比和师班比两种相对数量比进行教师数量的衡量,其中师幼比即保教人员数与在园幼儿数之比,师班比包括专任教师数与班级数之比、保教人员数与班级数之比。在教师质量上,2009年8月第十一届全国人民代表大会常务委员会修正的《中华人民共和国教师法》第十一条规定,“取得幼儿园教师资格,应当具备幼儿师范学校毕业及其以上学历”,由此本研究以大专及以上学历教师数占比这一维度考量民族地区城乡学前教育教师的质量差异。在教师结构上,本研究通过计算教师中“未定职级”及教师“高级职务”(包括正高级和副高级)比例衡量教师结构的配置情况。
(三)泰尔指数分析模型
泰尔指数由泰尔(Theil)于1967年提出,常用于多项研究单元背景,依据一个指标衡量区域差异性。泰尔指数的优势在于可有效反映空间上区域内及区域间差异,并明确其对总差异的贡献率。泰尔指数总体取值范围在[0-1]之间,数值越大差距越大,反之差距越小。运用到本研究之中,泰尔指数用于衡量在民族地区中城区、镇区、乡村三级行政区域内、区域间学前教育教师资源配置的差异情况。
泰尔指数计算公式(1)为:
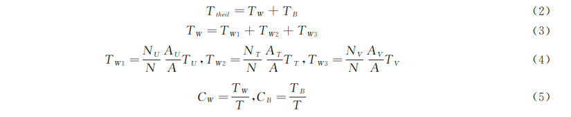
其中Ttheil为泰尔系数,n为总样本数,yi为我国民族地区生均保教人员数、班均专任教师数、班均保教人员数、专科及以上学历教师数、“未定职级”教师数及“高级职务”教师数等实际数值。A为全国生均保教人员数、班均专任教师数、班均保教人员数、“未定职级”教师数及“高级职务”教师数等指标的平均值。本研究按照最新的城乡划分标准将每个地区分为城区(含主城区、城乡接合部)、镇区(含镇中心区、镇乡接合区、特殊区域)、乡村(含乡中心区、村庄)三个区域,同时采用一阶段泰尔指数分解方法,将总体区域差异分解为区域内差异(Within-Region,WR)和区域间差异(Between-Region,BR)两个部分。具体公式见(2)(3)(4)(5):

其中,TW代表我国民族地区学前教育教师资源配置区域内差异总和部分,TW1、TW2和TW3分别代表城区园所内、镇区园所内和乡村园所内教师资源配置差异,TU、TT和TV分别表示城区、镇区、乡村不同区域教师资源配置的泰尔指数,N、NU、NT、NV分别表示总样本个数和城区、镇区、乡村不同区域的样本个数,A、Au、AT、AV分别表示总样本和全国城区、镇区、乡村不同区域生均教师资源配置平均值,TB表示我国民族地区与全国教师资源配置区域间差异部分。城区、镇区、乡村不同区域间泰尔指数及区域内泰尔指数对总泰尔指数的贡献程度反映了该因素对教师资源配置总泰尔指数的影响程度。CW和CB则分别表示组内和组间贡献率指标。
三、结果分析
本部分主要从民族地区学前教育师资配置基本情况、泰尔指数分析和贡献率分析三个方面对民族地区学前教育师资城区、镇区、乡村配置差异及其与全国平均水平差异情况进行分析。
(一)民族地区学前教育师资配置的基本情况分析
如表2所示,现阶段我国民族地区学前教育教师整体数量未达到我国所规定的相关配备标准,数量缺口较大。在师幼比上,教育部在2013年印发的《幼儿园教职工配备标准(暂行)》(以下简称《配备标准》)中指出,全日制幼儿园全园保教人员与幼儿比的最低要求为1:9,半日制幼儿园全园保教人员与幼儿比的最低要求为1:13①。民族地区的城区及镇区幼儿园这两个比例分别为1:10.42和1:12.60,已达到教育部规定的相关配备标准,但仍低于全国平均水平。乡村幼儿园低至1∶16.01,并未达到相关配备标准。在班师比上,按照《配备标准》规定“每班至少配备两名专任教师,有条件的至少配备3名保教人员”,民族地区城区幼儿园在专任教师数上已达到基本配备标准,但保教人员总数却仅为2.85人,保育员数量不足。同时民族地区镇区及乡村区域幼儿园与基本配备要求间差距较大,班均专任教师数仅为1.72和1.14,班均保教人员数仅为2.38和1.52。

从民族地区学前教育师资配置的质量情况来看(见表3),民族地区专科及以上学历教师比例存在城乡差异,城区幼儿园教师学历达标率达92.43%,而乡村幼儿园教师学历达标率仅为80.32%。同时民族地区各区域指标数值均低于全国平均水平。
如表3所示,民族地区学前教育教师“未定职级”教师比例较高,并存在城乡差距,城区“未定职级”教师比例高于乡村“未定职级”教师比例,城区“高级职务”教师比例低于镇区“高级职务”教师比例,镇区“高级职务”教师比例低于乡村“高级职务”教师比例。此外,民族地区学前教育教师“未定职级”教师比例普遍低于全国平均水平,“高级职务”教师比例均高于全国平均水平。这表明随着国家政策对民族地区、偏远地区、乡村地区教师职称评定的倾斜,民族地区乡村学前教育教师在职级结构上逐渐优于城镇区域。

(二)民族地区学前教育师资配置的泰尔指数分析
如表4所示,在教师数量配置上,生均保教人员数、班均专任教师数、班均保教人员数三个指标无论是总泰尔指数,还是城区、镇区、乡村的泰尔指数,均低于0.00000017,表明教师数量的差异很小,公平性处于很高的水平。同时,基于生均保教人员数的指标数值略低于基于班均专任教师数及班均保教人员数指标数值,说明班均专任教师数和班均保数人员数的公平性较生均保数人员数的公平性稍高一些。在教师质量配置上,民族地区幼儿园专科以上学历教师配置差异很大,总泰尔指数达0.959278287,公平性低。在教师结构配置上,“未定职级”教师数这一项指标的民族地区总体泰尔指数达0.724681509,配置差异较大,公平性较低,“高级职务”教师数这一项指标的民族地区总体泰尔指数仅为0.000000367,说明差异小,公平性高。
在区域内差异和区域间差异部分,在民族地区幼儿园教师的数量配置中,生均保教人员数的区域间泰尔指数(0.000000147)稍大于区域内泰尔指数(0.000000021),班均专任教师数的区域间泰尔指数(0.000000147)略大于区域内泰尔指数(0.000000001),班均保教人员数亦符合以上规律。在民族地区幼儿园教师质量配置上,专科及以上学历教师数的区域间泰尔指数(0.723476525)显著大于区域内泰尔指数(0.235801762)。在民族地区幼儿园教师结构配置上,“未定职级”教师数、“高级职务”教师数的区域间泰尔指数(0.504223499,0.000000288)也均高于区域内泰尔指数(0.220458009,0.000000079)。概言之,相较于民族地区内部差异,我国民族地区幼儿园教师在数量、质量及结构的配置上与全国平均水平间的差异更大。

(三)民族地区学前教育师资配置的差异贡献率分析
从表5数据来看,生均保教人员数、班均专任教师数、班均保教人员数、专科及以上学历教师数、“未定职级”教师数、“高级职务”教师数存在的差异主要由区域间差异导致,差异贡献平均高于或等于69.57%,最高的达到99.29%。
对比城区、镇区、乡村差异贡献率,发现在教师数量资源层面,无论是生均保教人员数还是班均专任教师数、班均保教人员数,城区幼儿园的差异贡献率均大于镇区、乡村幼儿园的差异贡献率。在教师质量资源层面,镇区幼儿园在专科及以上学历教师数上的差异贡献率大于城区和乡村幼儿园在这一方面的差异贡献率。在教师结构资源层面,镇区幼儿园在“未定职级”教师数、“高级职务”教师数上的差异贡献率大于乡村幼儿园在这两方面的差异贡献率,而乡村幼儿园在这两方面的差异贡献率又大于城区幼儿园在这两方面的差异贡献率。综上,与上文中泰尔指数分析结果一致,我国民族地区内部的差异贡献率远低于与全国平均水平间的差异贡献率。同时,就民族地区内部而言,城区、镇区、乡村的差异贡献率也各不相同。

四、研究讨论
通过对民族地区学前教育教师资源配置差异情况进行分析,发现当前民族地区学前教育保教人员数量及有职称教师数量配置缺口较大,学历未达标教师数较多。泰尔指数分析结果表明,民族地区的城区、镇区及乡村之间在学前教育教师质量与结构配置上存在较大差异,公平性较低;差异贡献率分析结果则说明了在我国学前教育教师数量、质量及结构的配置上,民族地区与全国平均水平间的差异贡献率均高于民族地区内部的差异贡献率,即与我国其他省份相比,我国民族地区在学前教育师资配置上处于较低水平。
弱势群体是指因经济、文化、自然等弱势而处境不利的人群或阶层,发展到教育领域即指因缺乏教育资源而位于弱势地位的人群。基于以上分析,民族地区幼儿便是该群体之一。为实现教育资源的合理配置,应根据民族地区幼儿这一弱势群体与其他非处境不利地区的幼儿之间在教师资源配置上的差异予以针对性补偿。根据弱势补偿理论,给予补偿的主体和接受补偿的对象是最为核心的要素[7]。以该理论观照本研究,民族地区学前教育的服务对象是幼儿,实施服务及给予补偿的主体是幼儿园教师、幼儿园及政府。由此,本研究依据弱势补偿理论,从幼儿园教师、幼儿园及政府这三个层面出发展开对阻碍民族地区学前教育师资优质均衡发展的原因分析。
(一)民族地区幼儿园教师群体专业发展内生动力不足
“动力”意为可使机械运转做功的力量或者比喻推动事物前进和发展的力量,内生动力中的“动力”取后者的含义。而从力量来源上进行分类,动力可分为内部动力和外部动力,其中内生动力属于内部动力。教师专业发展内生动力是指教师在教育教学过程中产生的以不断提升自我、追求高质量教育教学目标的主动愿望[8],具有内源性、自主性及持续性等特点。
基于内生动力的特性,专业发展内生动力强的民族地区学前教育教师会自主、自发地追求职级评定及学历水平的提升。据人力资源社会保障部办公厅在2022年11月发布的《关于进一步做好职称评审工作的通知》可知,我国当前职称评审标准“突出品德、能力、业绩导向”,同时虽提出“减少学历、奖项等限制性条件”,但也指明除非“业绩显著、贡献突出”,申报人学历均应达到“基本要求”。在此标准下,当前民族地区学前教育教师存在有职称教师数缺口大、学历达标率不理想等情况与教师自身专业发展内生动力不足息息相关。有研究也表明,教师内生动力是激发教师提高自身专业素养的内在驱动力,这一驱动力会让教师不断反思自己的教育教学问题,进而做出改进以不断提高自己的教育教学专业素养,当教师内生动力不足时,就会出现专业发展意愿低、对专业学习应付了事等消极情绪与行为[8]。因此,激发民族地区幼儿园教师群体专业发展内生动力是推动我国民族地区学前教育教师资源均衡配置的重要前提。
(二)民族地区幼儿园学前教育教师队伍建设在数量配置、准入监管上存在困难
在数量配置上,研究结果表明,我国民族地区专任教师与保育员数量缺口大,如在师幼比上,民族地区镇区、乡村的专任教师数量配置未达到《配备标准》要求,而在保育员数量配置上无论是城区、镇区还是乡村均未达标。同时,以2021年为例,专任教师与保育员数量的缺额差为0.28万,而基于“每班专任教师数与保育员数之比为2:1”这一要求,该缺额差说明民族地区存在诸多幼儿园班级“仅配备专任教师,而未配备保育员”或是“班级中幼儿数量严重超额”等情况。在学历配置上,如上文所述,当前我国民族地区学前教育教师群体中在岗专任教师学历偏低,未达到基本要求。以上数据反映出我国民族地区幼儿园学前教育教师队伍建设在数量配置及准入监管上存在困难。
受民族地区经济发展、生活条件、薪资水平等方面的影响,民族地区的学前教育教师存在人才紧缺、流失严重等问题,而又因为教师数量上的缺乏,民族地区的很多幼儿园不得已依靠降低学前教育教师准入门槛来缓解这一困境。诸多研究表明,面对教师紧缺的严重状况,在劳动力市场竞争中处于劣势的民族地区农村幼儿园只能退而求其次选择学历低的教师[9]。同时,在民族地区,尤其是在农村地区,跨行成为学前教育教师现象也极其普遍。据学者调研,接近58.6%的民族地区学前教育教师是从工人、农民、服务人员、专业技术人员等其他行业领域经过职业资格考试合格后跨行成为学前教育教师的[10]。
从政策上来说,一方面,加强学前教育教师数量配备建设是我国教育政策提出的重点要求。2012年8月印发的《国务院关于加强教师队伍建设的意见》就指出“幼儿园教师队伍建设要以补足配齐为重点”。另一方面,2018年1月中共中央、国务院发布的《关于全面深化新时代教师队伍建设改革的意见》提出应“全面提高幼儿园教师质量,建设一支高素质善保教的教师队伍”。这是当前我国学前教育教师队伍建设的目标与要求,而人才缺乏且质量偏低等现实困境严重制约了我国民族地区学前教育教师队伍的高质量发展。由此,从根本上来说,解决当前民族地区幼儿园学前教育教师队伍建设在数量配置及准入监管上的困境是推动民族地区学前教育教师资源均衡配置的关键举措。
(三)国家对民族地区学前教育的经费投入与政策倾斜力度有待加强
通过对民族地区学前教育师资配置情况进行泰尔指数及差异贡献率分析,发现在民族地区内部的城区、镇区、乡村之间,以及民族地区与全国平均水平间均存在差异,同时民族地区与全国平均水平间的差异贡献率显著高于民族地区内部的差异贡献率。这表明,相较于其他非民族地区,民族地区作为国民教育中的薄弱地区,更需要受到关注。
国家教育经费及地方教育财政的投入可以为教育事业发展提供有力保障。有研究发现,我国财政投入存在分配不均问题,主要表现在两个方面,一方面经济发展水平较高的东部地区,其财政能力较强,政府用于学前教育财政性支出的能力和学前教育投入水平比西部地区更高;另一方面,在城乡之间也存在分配不均衡的情况,城镇幼儿园的财政投入水平显著高于乡村幼儿园的财政投入水平[11],这造成当前我国东部地区学前教育质量优于西部地区学前教育质量,城镇幼儿园质量优于乡村的现状。同时,还有研究指出当前我国少数民族学前教育财政性教育经费相对不足,在民族地区中有七个省份的学前教育财政性投入在总额上低于国家平均水平[12]。这也使得民族地区的学前教育教师工作投入与收入不成正比,进而加剧民族地区学前教育教师资源短缺。
当前我国政府已对民族地区学前教育发展提供了一定的政策倾斜。2010年7月国家中长期教育改革和发展规划纲要工作小组办公室发布的《国家中长期教育改革和发展规划纲要(2010—2020年)》明确要求“重点发展农村学前教育”,同年11月国务院发布的《关于当前发展学前教育的若干意见》也强调要“努力扩大农村学前教育资源”“加大对农村学前教育的投入”。政策的发布取得了一定的成效,如上文中通过数据分析,发现当前民族地区乡村学前教育教师的职级结构逐渐优于城区、镇区。但还存在诸多问题,一方面当前我国学前教育资源利用效率整体偏低,并存在诸如在学前教育资源利用效率上,中部地区优于西部和东部地区[13]。另一方面,目前我国暂未实行统一的编制配备体制。2012年教育部等4部门发布《关于加强幼儿园教师队伍建设的意见》,提出“各地结合实际合理确定公办幼儿园教职工编制,具备条件的省(区、市)可制定公办幼儿园教职工编制标准”。有统计数据显示,在国家政策号召下,截至2019年,全国有19个省(区、市)出台公办幼儿园编制标准[14],而其中民族地区仅包含新疆维吾尔自治区、广西壮族自治区、贵州三个省份。尤其是对民族地区这一条件相对较为艰苦的特殊场域而言,以编外聘用这一方式招聘学前教育教师将导致教师招不满、走得快等现实困难。
因此,继续加强民族地区学前教育的经费投入与政策倾斜,完善民族地区编制制度,提高学前教育资源利用率是推动民族地区学前教育教师资源均衡配置的根本措施。
五、结语
本研究采用泰尔指数模型,以《中国教育统计年鉴(2021)》中关于民族地区学前教育教师在数量、质量及结构上的相关数据为基础进行城乡差异分析,发现当前我国民族地区学前教育师资配置存在诸多问题,包括在数量上,保教人员数缺口大;在质量上,教师学历不达标人数较多;在结构上,有职称教师数量较少;在总体上,学前教育师资配置在民族地区内部存在城乡差异,在民族地区与全国平均水平间也存在较大差异。基于弱势补偿理论进行分析,本研究认为导致以上现状的原因可能是我国民族地区幼儿园教师群体专业发展内生动力不足,我国民族地区幼儿园在学前教育教师队伍的数量配置及准入管理的建设上存在困难,以及国家对民族地区学前教育的经费投入与政策倾斜力度有待加强等。从根本上来说,以上三个因素之间相互作用与影响,民族地区学前师资的均衡配置需要依靠教师个人、幼儿园及政府三方合力。
因此,可从以下三个方面改善当前我国民族地区学前教育师资配置现状,真正推动民族地区学前教育教师城区、镇区及乡村间,民族地区与全国平均水平间的均衡配置。一是创设促进民族地区学前教育教师生成内生动力的内部环境,如增强民族地区学前教育教师的教育情怀、社会责任感等。二是完善民族地区幼儿园教师的专业素质培养体系,以为在岗教师提供提升学历的机会等方式缓解当前民族地区因现实因素而造成的学前教育教师队伍建设困境。三是加强对民族地区学前教育的经费投入与政策倾斜,提高民族地区学前教育教师的薪资福利,增强民族地区学前教育教师的职业吸引力,优化民族地区学前教育教师编制、职称配备体制等。
注释:
①因《中国教育统计年鉴》针对整体情况进行数据统计,本研究无法将全日园及半日园相关数据相分离,由此本研究选取《配备标准》中对半日园及全日园教师数量配置的最低要求为讨论依据。
参考文献:
[1]中华人民共和国教育部发展规划司.中国教育统计年鉴(2021)[Z].北京:中国统计出版社,2022:426-443.
[2]方建华,马芮,蔡文伯.基于泰尔指数的县域内幼儿园教师资源配置分析[J].学前教育研究,2021(02):3-15.
[3]李钰燕,陈金菊.西部地区幼儿园教师资源配置的县域比较与分析:基于广西108个县区的实证研究[J].教育理论与实践,2020(14):34-37.
[4]李晓霞.教育公平视角下我国城乡幼儿师资配置差异分析[J].三明学院学报,2017(05):85-90.
[5]赖昀,薛肖飞,杨如安.乡村地区学前教育教师资源配置问题与优化路径:基于陕西省X市乡村学前教师资源现状的调查分析[J].教育研究,2015(03):103-111.
[6]万湘桂.县域学前教育师资配置问题与思考:基于湖南省8区县调查的分析[J].社会科学,2015(10):73-80.
[7]马娥.弱势补偿:教育公平视野下农村学前教育资源配置的现实选择[J].教育导刊(下半月),2014(02):7-11.
[8]杨瑞勋,和学新,班振.教师内生动力的意蕴及其实现[J].当代教育科学,2021(01):87-95.
[9]张有龙,杨晓萍.民族贫困山区农村幼儿教师配置的困境与纾解:基于黔西北乌蒙山区的调查分析[J].贵州民族研究,2018(02):252-256.
[10]李月.民族地区学前教育师资队伍建设现状调查研究:以四川省凉山彝族自治州为例[J].郑州师范教育,2021(01):26-32.
[11]游达,吴慧娴.教育公平视角下中国学前教育财政投入研究[J].西昌学院学报(社会科学版),2023(02):124-128.
[12]赵彦俊,卢政婷.我国发展少数民族学前教育的成就、问题与建议:基于政策的视角[J].民族教育研究,2015(01):5-11.
[13]蔡文伯,向燕,闫之威.我国学前教育资源利用效率研究:基于PCA-DEA组合模型[J].成都师范学院学报,2023(06):25-35.
[14]秦田田,刘善槐,殷美娜,等.乡村振兴背景下学前教师编制标准研究[J].华东师范大学学报(教育科学版),2022(06):57-81.
Differences of Teacher Allocation in Preschool Education in Ethnic Regions of China:on the Basis of Comparison of Thiel Index
ZHOU Zi-yi, WANG Li
Abstract: To explore the differences in the allocation of preschool teachers in ethnic regions of China, the Thiel index model was used to analyze the relevant data in the China Education Statistical Yearbook.The results reveal that there is a significant gap in the number of preschool teachers in ethnic regions, and the quality and structural allocation are imbalanced. In addition, there are significant differences in the quality and structural allocation of teachers among urban, township, and rural areas. The differential contribution rate in the quantity, quality, and structural configuration of preschool teachers between ethnic regions and the national average level is higher than that among urban,township,and rural areas in ethnic regions. Based on the theory of disadvantaged compensation, it is found that kindergarten administrators in ethnic regions lack scientific educational concepts. The supervision system for the construction of preschool education teacher teams in ethnic regions is not sound. The country ’s fiscal investment and policy support towards preschool education in ethnic regions are limited. Therefore,suggestions are put forward including perfecting the professional quality training system for kindergarten managers and teachers in ethnic regions,improving the supervision system for the construction of preschool education teacher teams in ethnic regions,and enhancing fiscal investment and policy support in preschool education in ethnic regions.
Key words: teacher resources; resource allocation; ethnic regions; preschool education;Theil index
(责任编辑:钟婧怡)
初审:伍鹏辉
复审:王晓燕
终审:蒋立松