******必赢优惠y272net(China)最新App Store

新中国民族教育政策共同性和差异性的演进:总体趋势与具体领域

作者:唐一山 唐智松来源:《西南民族大学学报(人文社会科学版)》2023年第3期


摘 要:民族教育政策问题,历来备受关注。既有研究,对差异性或许较为敏感,对共同性或许不够重视。习近平总书记指出,“要正确把握共同性和差异性的关系,增进共同性、尊重和包容差异性是民族工作的重要原则”[1],明确了民族教育政策的方向和主线。笔者基于Nvivo软件进行关键词计量分析及相应探讨,结果发现:新中国成立以来,民族教育政策表现出增进共同性和尊重、包容差异性的总体趋势。而民族教育政策具体领域的情况略有不同。高等教育、经费投入、职业教育、教育对口支援及协作、师资队伍建设、招生录取六个领域表现出增进共同性和尊重、包容差异性的历史趋势;而干部教育、民族预科班与民族班、民族团结教育、双语教育、课程与教学五个领域或许不太一致,内地西藏班和新疆班领域则似乎有所不同。这意味着习近平总书记的上述指示既恰逢其时又任重而道远。展望未来,应以增进共同性、尊重和包容差异性为准则,审视和评估民族教育政策。与此同时,民族教育实践应“以公平公正为原则,突出区域化和精准性”:通过准确地“尊异”,来更好地“求同”。

关键词:民族教育政策;共同性;差异性;Nvivo


一、引言

习近平总书记在2021年8月27日至28日召开的中央民族工作会议上指出,“铸牢中华民族共同体意识是党的民族工作开创新局面的必然要求,只有顺应时代变化,按照增进共同性的方向改进民族工作,做到共同性和差异性的辩证统一、民族因素和区域因素的有机结合,才能把新时代党的民族工作做好做细做扎实”[1]。言下之意,铸牢中华民族共同体意识是当前我们开展民族工作的重要抓手和目标。为此,我们要把握好共同性和差异性的关系,增进共同性,尊重和包容差异性。在增进共同性的工作中,差异性自然而然地会逐步减少,“但这种减少不是人为的、强制的”“不是要取消民族之间的差异性”,与此同时,“对民族成员间自然而然的接近不支持、不引导,反而采取各种措施强化民族差异……是在构筑民族的界墙,固化民族身份,与大势背道而驰”[2]

有鉴于此,民族工作的开展要“求同存异”,而不是“求同求异”,更不是“求异存同”。换言之,我们绝不能笼统地说,既要重视共同性,也要注重差异性,这只会混淆二者的区别,进而无益于民族工作的有效开展。民族教育工作,概莫能外。而民族教育政策作为“党和国家在一定时期内,为实现少数民族和民族地区教育事业发展目标和任务所制定的行动准则”[3],更是要视“求同存异”为工作开展的指导方针。那么,民族教育政策一直以来是不是都是强调“求同存异”?民族教育政策的导向有没有历史阶段的差异?师资队伍建设、双语教育、课程与教学、民族团结教育、干部教育、高等教育、职业教育、招生录取、分配就业、经费投入、教育对口支援及协作等民族教育政策的具体领域一直以来是不是都强调“求同存异”?这些领域的导向有没有历史阶段的差异,我们又该如何应对?

在以往的民族教育政策研究中,研究者大多以理论思辨和质性研究为主,探讨民族教育政策的结构[4]、特点[5]、演变[6]、经验[7]、问题[8]、成就[9]、价值取向[10],等等。应当说,此类研究都有可取之处,但对于上述问题关注得并不多。或者由于研究者民族教育政策文本搜集数量的有限、分析样本的差异、调查时间的不同、调查对象及自身理解的差异等,研究结论也可能存在不足。除此之外,研究者所发现的现象、所指出的问题、所分析的原因、所提出的对策与建议,虽然列出了诸多方面,但现象孰简孰繁、问题孰轻孰重、原因孰浅孰深、建议孰缓孰急,有待进一步展开讨论。如果这些问题的答案都不是很清楚,给出的政策建议或许就略显浮泛,为政府科学决策提供参考的价值就会有所削弱。有鉴于此,笔者依据民族教育政策文本,进行关键词计量分析,具体操作如下:

首先,进行民族教育政策文本的搜集工作。具体而言,笔者对已公开出版的民族教育政策的文献汇编进行了整理,又在中央人民政府、教育部、国家民委等政府网站上进行了搜索和整理(截至时间为2022年1月1日),以确保不遗漏最新的政策文件。结果(含具体领域)如表12所示。其次,笔者将整理后的文件导入Nvivo软件进行词频查询,查询方式为完全匹配,显示字词为500,具有最小长度为,将“方面”“以下”“条件”“进一步”等无实质意义的词和数字等添加至停用词列表,运行查询后显示词语的加权百分比。值得一提的是,“词频统计本身并不直接产生文本分析的结果,而只是对深度文本学研究进行辅助说明的一个实证科学的工具手段”[11]。换言之,本文在词频分析后,还将进行相应的探讨,以试图回答上述问题。

表1 民族教育政策文件的数量

二、总体趋势:增进共同性

为了探明民族教育政策的文本对于差异性和共同性的反映情况,笔者选取了“不同”“传统”“文化”“具体”“实际”“当地”“特殊”“地区”“边疆”“边远”“适应”“照顾”“优惠”“优先”“少数民族”作为反映差异性的词语,“共同”“共同体”“联系”“合作”“沟通”“交流”“交融”“统一”“领导”“思想”“中华民族”“中央”“中国”“国家”“中共中央”“党中央”“祖国”“现代”“现代化”“社会主义”作为反映共同性的词语,进而查询这些词语的加权百分比。笔者认为,采取这种选取方法,虽然带有一定的主观性,但根据这些词语出现频率的大小来分析差异性和共同性,较之通过对政策内容的解读来加以分析似乎更为客观一些,也或许会有另一种收获。如表2、表3所示,历史地看,民族教育政策“差异性”关键词的加权百分比的总和从4.01下降为2.28,“共同性”关键词的加权百分比的总和从1.7增长为2.74。换言之,新中国成立以来,民族教育政策的演进表现出增进共同性和尊重、包容差异性的历史趋势。这恰好与习近平总书记强调的“按照增进共同性的方向改进民族工作,做到共同性和差异性的辩证统一”相吻合,也意味着民族教育政策在总体上与党的民族工作路线保持了高度一致。通过对文献的细致整理与分析,发现具有以下几个特点:

表2 民族教育政策“差异性”关键词的加权百分比

表3 民族教育政策“共同性”关键词的加权百分比

第一,日益强化党的领导。比如相关文件规定(按文件出台时间早晚顺序列出,并用“。”符号表述,下同):“各级党委和政府要高度重视民族教育工作,进一步加强对民族教育工作的领导,这是做好民族教育工作的根本保证”[12]。“各级党委和政府要切实加强对民族教育工作的领导。要把民族教育工作列入各级党委和政府的重要议事日程”[13]。“坚持中国共产党的领导。坚定不移地把党的政治领导、思想领导、组织领导贯穿到民族教育工作的全过程和各方面”[14]。“加强和完善党的全面领导,是做好新时期党的民族工作的根本政治保证……把党的领导贯穿民族工作全过程,形成党委统一领导、政府依法管理、统战部门牵头协调、民族工作部门履职尽责、各部门通力合作、全社会共同参与的新时代党的民族工作格局”[1]。据此可知,对“党的领导”的要求从“加强”到“坚持”再到“加强和完善”,方式从“重视”到“政治领导、思想领导、组织领导”再到“全面领导”,主体从“各级党委和政府的领导”到“党委统一领导”。换言之,党的领导的要求越来越高、范围越来越广、主体越来越明确。

第二,日益重视发展。比如相关文件规定:“西藏是人口很稀少的地区,地方大得很,单靠二百万藏族同胞去建设是不够的,汉人去帮助他们没有什么坏处。如果以在西藏有多少汉人来判断中国的民族政策和西藏问题,不会得出正确的结论。关键是看怎样对西藏人民有利,怎样才能使西藏很快发展起来,在中国四个现代化建设中走进前列”[15]。“少数民族和民族地区要获得较快发展,既需要国家的扶持和比较发达地区的帮助,更需要进一步发扬自力更生、艰苦奋斗的精神,充分发挥和依靠当地各族人民的积极性和创造性,集中力量把经济建设搞上去”[16]。“坚持把加快少数民族和民族地区经济社会发展作为解决我国民族问题的根本途径,坚持国家帮助、发达地区支援、民族地区自力更生相结合,不断改善各族群众的生产生活条件,不断提高各族群众的思想道德素质、科学文化素质和健康素质”[17]。“要推动各民族共同走向社会主义现代化……要根据不同地区、不同民族实际,以公平公正为原则,突出区域化和精准性,更多针对特定地区、特殊问题、特别事项制定实施差别化区域支持政策”[1]。从“汉人去帮助”到“外部支援与自力更生相结合”再到“共同走向现代化”,民族地区在坚持发展中越来越自信和从容,这与民族地区发展水平逐步提高不无关联,也意味着在国家发展的全局中扮演着越来越重要的角色、起到越来越大的作用,同时,“突出区域化和精准性”提到了一个重要的位置。“实施差别化区域支持政策”意味着政策的连续性,不过较之以往,相关政策的实施将更为精准,这有助于民族地区今后的高质量发展,也有益于民族地区和其他地区不断走向共同富裕的道路。

第三,日益注重交流。比如相关文件规定:“提倡不同民族学生合校合班或合校分班上课。要提倡汉族青年学习少数民族的语言文字、文学艺术、历史和医学等,以利相互学习、相互帮助,增进友谊和团结;风俗习惯差距较大的,可实行分餐、分宿”[18]。“在有条件的民族地区积极稳妥推进民汉合校,积极开展各族学生体育、文艺、联谊等活动。促进不同学生共学共进……在内地民族班开展走班制等多种教学管理模式试点,探索推进混班教学、混合住宿,鼓励少数民族学生积极参加学校社团组织和文体活动,组织开展当地学生与内地民族班学生之间互帮互学、友好班级等活动”[14]。“深入推进交往交流交融,搭建各族学生交往交流平台,推进各族学生混合住宿、混班教学全覆盖”[19]。据此可知,民汉学生交流的范围从民族地区扩展到内地民族班、分班到混班、分寝到混寝、课堂教学扩展到课余活动。换言之,民汉学生学习交流的范围逐渐扩大、内容逐渐丰富。

第四,日益加强团结。比如相关文件规定:“中小学的民族团结教育,采取课外活动的形式进行。在课外活动中,利用团队、班会及歌舞表演,民族知识演讲、绘画、民族团结故事会、讲座等形式开展,寓民族团结教育于丰富多彩的活动之中,同时与中小学的艺术教育和素质教育紧密结合起来”[20]。“坚持专项教育与在其他学科教学中的渗透相结合;课堂教育与寓教于乐的实践活动相结合;掌握知识、培养能力与正确人生观、价值观的养成相结合;过程、方法与目标相结合;学校教育与家庭、社会教育相结合”[21]。“健全民族团结进步教育常态化机制,把民族团结教育纳入国民教育、干部教育、社会教育全过程,构建课堂教学、社会实践、主题教育多位一体的教育平台”[22]。据此可知,民族团结教育政策的实施以往局限于课外活动,后期则注重多方结合、多位一体、常态化开展。换言之,民族团结教育的形式日益多元、力度逐渐加大。

第五,日益强调平等。比如相关文件规定:“在内地创办西藏学校和举办西藏班……招生的原则是……只招收藏族学生”[23]。“西藏班招收新生必须……以藏族学生为主,可适当招收门巴、珞巴等西藏本地其他少数民族学生;必须具备西藏本地户口的小学毕业生”[24]。“内地西藏初中生限招户口在西藏的各民族学生”[25]。“内地普通高等学校招收西藏班、新疆班学生招生计划……新疆班应届高中毕业生(生源),其中有10%的汉族农牧子女”[26]。“进藏干部子女在父母原籍所在地或父母房产所在地接受学前、小学、初中、高中阶段教育的,所在地教育行政部门要按规定将其安排到当地公办学校学习,并享受当地生源同等待遇”[27]。“2018年内地西藏、新疆中职班招生计划分别为2695人、3300人,其中内地西藏中职班面向青海藏族聚居区招收855人”[28]。据此可知,招生录取优惠政策的受益对象不再局限于某些少数民族的子女,而扩展至符合条件的其他民族的子女。这有助于他们享受平等的受教育权利,从而在一定程度上避免了“有些以‘民族’整体为对象的制度性民族政策安排的实践带来的一些负面后果,促进了对象民族与非对象民族‘民族意识’的强化……影响少数民族间的团结”[29]。换言之,为了“正确把握中华民族共同体意识和各民族意识的关系”,招生录取政策的实施便不再仅仅强调民族因素,而逐步做到了“民族因素和区域因素的有机结合”[1]

第六,日益重视国家通用语言文字。比如相关文件规定:“蒙古中小学,以蒙古语文授课为主。根据各地不同条件,适当安排蒙汉文授课比重”[30]。“凡有本民族语言文字的民族,应使用本民族的语文教学,学好本民族语文,同时兼学汉语汉文”[31]。“用少数民族通用的语言文字教学的学校,应当在小学高年级或者中学开设汉语文课程,也可以根据实际情况适当提前开设”[32]。“要积极创造条件,在使用民族语授课的民族中小学逐步从小学一年级开设汉语课程”[33]。“全面开设汉语文课程,全面推广国家通用语言文字。尊重和保障少数民族使用本民族语言文字接受教育的权利”[34]。“通过3年左右的努力,实现具有正常学习能力的3-6岁少数民族儿童在接受义务教育前能够使用国家通用语言进行沟通交流,形成国家通用语言思维习惯”[35]。据此可知,少数民族学生学习国家通用语言的时间点从“小学高年级或中学”提前至“义务教育前”,程度从“兼学”提升至“形成思维习惯”。与此同时,国家通用语言推广的力度从“适当安排”提升至“全面推广”。总之,国家越来越强调少数民族学生要学习和掌握国家通用语言文字。

三、具体领域:规范化与特殊化并置

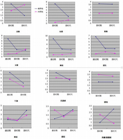
以上笔者探讨了民族教育政策表现出增进共同性和尊重、包容差异性的总体趋势及部分具体内容。那么,新中国成立以来,民族教育政策具体领域反映差异性和共同性的情况又是如何?为了解答这个问题,笔者将上述十三个领域的文件,导入Nvivo软件进行词频查询,处理方式与前述一致,不再赘述。随后,笔者逐次统计各领域的民族教育政策中反映差异性和共同性的关键词的加权百分比总和,进而汇总成表4和表5。不难发现,各领域的民族教育政策在不同的历史阶段对差异性和共同性的反映情况并不相同。为了更好地揭示这类情况,笔者将表4和表5中的数据导入Word软件的图表中,汇总成图1(由于分配就业领域只有一个历史阶段的数据,缺乏纵向比较的意义,故予以忽略)。如图所示,高等教育、经费投入、职业教育、教育对口支援及协作、师资队伍建设、招生录取六个领域表现出增进共同性和不强化差异性的趋势;干部教育、民族预科班与民族班、民族团结教育、双语教育、课程与教学五个领域表现出共同性和差异性同时增进或不强化的趋势;内地西藏班和新疆班领域表现出共同性不增进、差异性增进的趋势。那么,这十二个领域又如何具体反映差异性和共同性?对此,分析如下:

表4 民族教育政策具体领域“差异性”关键词的加权百分比

表5 民族教育政策具体领域“共同性”关键词的加权百分比

第一,日益注重内生性和规范化。高等教育、经费投入、职业教育、教育对口支援及协作、师资队伍建设、招生录取六个领域可归入此类。统筹地看,这类政策都强调少数民族和民族地区的发展要自力更生和追求高质量。如高等教育领域:“内地发达省、市和国务院有关部委要组织所属高校积极帮助和加强边远地区高校的建设,增强其自身培养人才的能力和主动适应社会主义建设需要的活力,使这些高校更好地担负起为当地培养各类专门人才的任务”[36]。“民族院校则应在一定程度内调整自身的结构,适应民族地区人才的需求”[37]。“以民族地区自力更生为主,与国家扶持及发达地区、有关高等学校开展教育对口支援相结合,共同推进民族地区教育事业的发展”[38]。“各民族院校要十分重视和不断加强学科建设,面向实践、面向未来、面向世界”[39]。“(委属)高校在国家创新驱动发展总体格局中承担着重要的使命,需要在一流学科、科技创新能力、创新型人才培养等方面加快建设,在理论创新、技术创新和制度创新中做出自身的贡献”[40]。据此可知,民族高等教育的发展越来越注重内生性和高质量的发展,在服务于少数民族和民族地区发展的同时,也服务于国家整体的发展。

历史地看,经费投入领域项目制的实施也日益普遍,如“凡拨给西藏班、新疆班的各项补助专项经费要在办班学校统一管理下专款专用,收支单独列账核算,并将收支账目和预算上报教育主管部门审核、批准,不得挤占挪用”[41];职业教育领域“双证制”实施的力度逐渐加大,如“努力在民族地区推行‘双证制’(学业证书和职业资格证书两种证书制度)”[42];教育对口支援及协作领域督察工作的力度也逐渐加大,如“加强协调和项目管理,逐步建立督查和表彰制度”[43];师资队伍建设领域也越来越注重教师培养的本土化,如“积极发展和改革民族师范教育,大力加强民族师资队伍建设。办好各级民族师范学校和少数民族师资培训中心。大力培养当地土生土长的本民族教师”[44];招生录取领域也对少数民族生源的质量提出越来越高的要求,如“高等学校和中等专业学校在招生时……要切实加强基础教育,办好预科,努力提高生源质量,并逐步引入竞争机制”[44]。合而观之,高等教育、经费投入、职业教育、教育对口支援及协作、师资队伍建设、招生录取六个领域日益规范化,一方面对少数民族和民族地区自身提出越来越高的要求,另一方面也有助于少数民族和民族地区“提高自我发展能力”[45]。这就为对某些长期实施的优惠政策进行必要调整提供了可能,进而在一定程度上避免了“少数民族本身会在这种长期性的优惠政策中滋生优越感和特殊感,自我强化少数民族意识”[29]情况产生。

第二,部分领域在规范化和特殊化之间出现摇摆情况。民族预科班与民族班、民族团结教育、双语教育、课程与教学、内地西藏班和新疆班六个领域可归入此类。一方面,这些领域强调少数民族和民族地区的发展要规范化并注重质量提升。具体来看,民族预科班与民族班领域为了提升学生培养质量,付诸“挑选优秀学生报考民族班,以保证招生质量”“实行相对集中办学”“成立预科指导委员会”“在部分预科培养学校继续开展结业会考工作”“中央部门所属高校招收的预科学生实施自主培养”等举措;类似的干部教育领域也越来越强调干部培训的规范化,如“干部轮训要逐步过渡到正规培训,主要提高少数民族干部的专业、知识水平”[46];民族团结教育领域和双语教育领域督察工作的力度也都逐渐加大,如“要关注社会舆情和学生思想动态,加强工作指导和督促检查,及时评估民族团结教育的效果和影响”“双语教育省份,请提供双语教育发展情况,制定的具体措施、取得的成绩、存在的突出问题和困难及下一步工作安排”[47][48];课程与教学领域对教材编写人员的结构和资质也提出越来越细致的要求,如“省级教育行政部门负责遴选政治立场坚定、思想端正、作风正派、熟悉学科的专家、教研人员和一线优秀教师组建民族文字教材编写修订、翻译(编译)队伍”[49];内地西藏班和新疆班领域对学生的要求越来越高,如“对西藏班、新疆班学生与当地学生统一要求、统一标准、统一管理,实行与当地学生合校混班教学”[50]

另一方面,有关研究和实践却有意无意地凸显差异性,进而会影响上述政策实施的效果,也会对政策制定本身产生影响,在一定程度使得政策具有不确定性,在规范化和特殊化之间有所摇摆,其中,内地西藏班和新疆班领域的不确定性较为突出,值得关注。如民族团结教育领域,“近年来中央一直高度关注如何在中小学开展民族团结教育,并多次组织专家编写中小学民族团结教材。但是一些编出的教材仍然在突出民族差异和民族特色,让小学生们更加认清自己属于‘哪个’民族,民族之间的边界更加清晰”[51];课程与教学领域,“区教委在进一步完善西藏自治区小学藏语文教学体系的基础上,中学、中专和大学都不同程度地加强了藏语文教学。过去没有开设藏文课的也都积极创造条件,开设了藏语文课”[52];内地西藏班和新疆班领域,“报考新疆班时,民族身份不同,分数线就不同,这对于考试分数相同的学生来说,民族身份就成为其是否能够顺利考入新疆班的一个关键因素。这时,他们不仅意识到不同民族的存在,而且还意识到不同民族在国家政治生活中的不同地位”[53]

四、未来路向:求同尊异

新中国成立以来,民族教育政策总体上表现出增进共同性和尊重、包容差异性的趋势:日益强化党的领导、日益重视发展、日益注重交流、日益加强团结、日益强调平等、日益重视国家通用语言文字。而民族教育政策具体领域的情况略有不同。高等教育、经费投入、职业教育、教育对口支援及协作、师资队伍建设、招生录取六个领域表现出增进共同性和尊重、包容差异性的历史趋势。具体来看,这些领域致力于推动少数民族和民族地区发展的规范化、高质量。干部教育、民族预科班与民族班、民族团结教育、双语教育、课程与教学、内地西藏班和新疆班五个领域具有不确定性,在规范化和特殊化之间有所摇摆。“二者之间的平衡在实际工作中是很难把握的”[54]。这与干部教育、民族预科班与民族班、民族团结教育、双语教育、课程与教学五个领域表现出共同性和差异性同时增进或不强化的历史趋势相吻合。

相形之下,内地西藏班和新疆班政策的不确定性更为突出。此类政策的制定固然注重增进共同性,但政策实践的效果或许并不理想,甚至产生了“部分内地西藏班(校)的少数学生,缺乏集体主义精神,组织纪律观念和法制观念淡薄”[55]的问题。有研究从招生录取、课程与教学、学校管理等具体工作层面论述了内地西藏班和新疆班的教育会加深少数民族学生的民族认同和弱化他们的国家认同[53]。而即便上述具体工作尽善尽美,内地西藏班和新疆班教育的效果也许差强人意。究其原委,内地西藏班和新疆班的制度设计本身或许就有缺憾。有研究指出,远离西藏的藏族学生是作为集体被放入内地城市文化中的,因此,内地班的学习经历反而强化了学生的划界意识、归属意识和族群认同意识[53]。换言之,内地西藏班和新疆班的实践领域在增进共同性方面不尽如人意。这又与上述内地西藏班和新疆班领域的政策未明显地表现出共同性增进、差异性不强化的历史趋势相吻合。

总之,民族教育政策多数领域表现出增进共同性和尊重、包容差异性的趋势,但有一些领域也许不太一致,甚至还有领域可能有所不同。习近平总书记指出,“要正确把握共同性和差异性的关系,增进共同性、尊重和包容差异性是民族工作的重要原则”[1],既恰逢其时又任重道远。展望未来,“就是要坚持正确的,调整过时的”[1]以增进共同性、尊重和包容差异性为准则,审视和评估民族教育政策基本方针和具体领域的政策,“搞清楚哪些方面必须‘同’,哪些方面可以‘异’”[56]。值得一提的是,近年来,民族教育领域已经开展了一些评估和督察的工作[57][58]。应当说,这些工作不无价值,也有助于民族教育更好地发展。然而统筹地看,这类工作主要是针对政策执行和落实的层面,忽视了对政策本身的检视,特别是一些领域性、地方性政策方面,而政策本身的缺陷恰恰是政策失真的主要原因之一[59]。有鉴于此,有关方面需要重视对民族教育政策文本本身的审查、修订和完善。

与此同时,为了“推动各民族共同走向社会主义现代化”[1],在教育实践方面“要根据不同地区、不同民族实际,以公平公正为原则,突出区域化和精准性,更多针对特定地区、特殊问题、特别事项制定实施差别化区域支持政策”[1]。比如,2021年贵州省教育厅等八部门发文通知:少数民族考生加分项目实行分区域加分,2022-2023年,一类区域、二类区域、三类区域参加高考的少数民族考生,符合“三统一”条件的,分别加5分、10分、15分[60]。这意味着贵州省少数民族高考加分政策不再仅仅考虑民族因素,而是考虑省内不同区域教育发展水平情况及实际存在的差距,切实照顾那些相对落后地区的考生。换言之,贵州省少数民族高考加分政策在一定程度上做到了“在明晰民族教育差别化政策价值的同时……从是否促进公平公正、是否有利于增进共同性等方面对民族教育差别化政策进行相应评估、调整”[61]。这表明,就民族教育的发展而言,恰当地尊重和包容差异性是科学地增进共同性的必由之路。进言之,民族教育发展的问题,不是要不要增进共同性,而是如何增进共同性的问题,为此,一定要“求同”及“尊异”。这里的“尊异”在内容上绝不是不加甄别地“尊异”,而是对“差异性中落后的、影响民族进步的因素”[56]予以摒弃;在功能上也绝不能喧宾夺主,而是对差异性中有损于共同性增进的因素予以必要的调整。换言之,我们必须准确、恰当地“尊异”,唯此,才能更好地增进共同性,民族教育事业才能更好地向前发展。

图1 民族教育政策具体领域差异性和共同性的演进


注释:

①如杨定玉主编、胡雪芳副主编《中国民族教育政策法规汇编》(北京:知识产权出版社,2017);司永成主编《民族教育政策法规选编》(北京:民族出版社,2011);国家教育委员会民族地区教育司选编《少数民族教育工作文件选编(一)》(呼和浩特:内蒙古教育出版社,1991);教育部民族教育司编《民族教育文件汇编(1991-2001年)》(北京:红旗出版社,2004);吴仕民主编《中国民族教育》(北京:长城出版社,2000);少数民族双语教育文件汇编委员会编《少数民族双语教育文件汇编(2001-2008年)》(成都:天地出版社,2009)。

②为了制表方便,表中第一列的历史阶段名称,笔者均列出简称(下同)。根据曲青山的划分,建设期即社会主义革命和建设时期(从1949年10月至1978年12月党的十一届三中全会召开),新时期即改革开放和社会主义建设新时期(从1978年12月至2012年11月党的十八大召开,新时代即中国特色社会主义新时代(2012年11月至今,简称为“新时代”)。参见曲青山《从党的百年历史中汲取智慧和力量》(中国纪检监察报,2021年2月25日第5版)。表中第一行中的民族教育政策具体领域的名称,笔者均列出简称(注:表4和表5亦是如此)。从左到右对应着招生录取、经费投入、干部教育、民族团结教育、职业教育、师资队伍建设、高等教育、分配就业、课程与教学、双语教育、教育对口支援与协作、内地西藏班(校)及内地新疆班、民族预科班和民族班。笔者基于既有文献的分类和讨论(如《少数民族教育工作文件选编(一)》将民族教育分为“一、总类”“二、招生分配”“三、教育援助”“四、民族班”“五、民族语文教学与教材建设”“六、教育经费”“七、附录”;《民族教育文件汇编(1991-2001年)》将民族教育划分为“一、综合类”“二、民族预科班、民族班及预科教材”“三、民族文字教材、课程及教学大纲”“四、内地西藏班(校)及内地新疆高中班”“五、教育对口支援与协作”),划分了这十三个领域。空白表示未搜集到文件。

需要说明的是,笔者在将文件归类时,如果某个文件最接近某一领域,就归入相应的领域。如《教育部办公厅关于切实做好高校少数民族预科学生自主培养工作的通知》就归入民族预科班、民族班领域,而未归入高等教育领域。如果某个文件与某两个领域都较为接近,便同时归入相应的领域。如《关于编制2001年普通高等学校招收内地西藏班学生计划的通知》就归于“招生录取”“内地西藏、新疆高中班”两类。除此之外,还有一类文件属于对民族教育基本方针的阐述,如《国家教委民族地区教育司关于印发〈全国民族教育发展与改革指导纲要(试行)〉的通知》,就未划入十三个具体领域之中。后果即是,这十三个领域在特定历史阶段的数量总和与特定历史阶段全部文件的实际数量并不一致。

③为了制表方便,笔者在表2中将“边远”“优惠”的加权百分比分别归入“边疆”“优先”。表3中,“沟通”“现代化”的加权百分比分别归入“合作”“现代”,“党中央”“中共中央”的加权百分比归入“中央”。

④表4和表5中的空白表示,这个领域在这个阶段没有文件或者只有1个文件,故未进行统计。

⑤教育部、国家民委《关于加强领导和进一步办好高等院校少数民族班的意见》,1984-03-30;教育部关于印发《普通高等学校少数民族预科班、民族班招生工作管理规定》的通知,2005-04-01;教育部关于成立高等学校少数民族预科教育教学和管理工作指导委员会的通知,2014-12-08;2016年普通高等学校少数民族预科学生结业会考工作的通知,2016-04-05;教育部办公厅关于切实做好高校少数民族预科学生自主培养工作的通知,2018-03-29.


参考文献:

[1]习近平.习近平谈治国理政(第四卷)[M].北京:外文出版社,2022:245,248,247,245-246,246,246,247,247.

[2]国家民族事务委员会编.中央民族工作会议精神学习辅导读本[M].北京:民族出版社,2014:86-87.

[3]雷召海,李资源,等.当代中国民族教育政策发展与实践研究[M].北京:人民出版社,2018:1.

[4]王鉴.我国民族教育政策体系探讨[J].民族研究,2003(06).

[5]陈沛照.论新中国民族教育政策的特点[J].前沿,2009(06).

[6]王世忠.新时期少数民族基础教育政策理论与实践[M].北京:中国社会科学出版社,2016:113-142.

[7]金炳镐主编.新中国民族政策60年[M].北京:中央民族大学出版社,2009:433-434.

[8]苏德等.民族教育政策:行动反思与理论分析[M].北京:教育科学出版社,2013:156-164.

[9]吴明海主编.中外民族教育政策史纲[M].北京:中央人民大学出版社,2006:128-130.

[10] 袁梅,刘玉杰.改革开放四十年我国民族教育政策价值取向的演进[J].西南民族大学学报(人文社会科学版),2019(04).

[11]张一兵.回到马克思:经济学语境中的哲学话语[M].南京:江苏人民出版社,2014:6(第三版序言).

[12]李铁映.大力改革和发展民族教育促进各民族的共同繁荣——在全国民族教育工作会议上的讲话[J].民族教育研究,1992(02).

[13]李岚清.加快民族教育事业发展促进各民族团结进步与共同繁荣[C]//民族工作文献选编(1990-2002).北京:中央文献出版社,2003:404.

[14]国务院关于加快发展民族教育的决定[Z].2015-08-11.

[15]邓小平.邓小平文选(第三卷)[M].北京:人民出版社,1993:246-247.

[16]江泽民.江泽民文选(第一卷)[M].北京:人民出版社,2006:184.

[17]胡锦涛.在中央民族工作会议暨国务院第四次全国民族团结进步表彰大会上的讲话[J].今日民族,2005(06).

[18]国家教委民族地区教育司关于印发《全国民族教育发展与改革指导纲要(试行)》的通知[Z].1992-10-21.

[19]教育部办公厅国家民委办公厅新疆维吾尔自治区人民政府办公厅关于印发《内地高等学校支援新疆第七次协作计划工作部署会议纪要》的通知[Z].2016-03-11.

[20]教育部办公厅国家民委办公厅关于在全国中小学开展民族团结教育活动的通知[Z].1999-02-13.

[21]教育部办公厅国家民委办公厅关于印发《学校民族团结教育指导纲要(试行)》的通知[Z].2008-11-26.

[22]中共中央办公厅国务院办公厅印发《关于全面深入持久开展民族团结进步创建工作铸牢中华民族共同体意识的意见》[J].中国民族,2019(11).

[23]教育部、国家计委关于落实中央关于在内地为西藏办学培养人才指示的通知[Z].1984-12-11.

[24]国家教育委员会、国务院西藏经济工作咨询小组关于转发《内地十六省市西藏班工作会议纪要》的通知[Z].1986-06-16.

[25]国家教委办公厅关于印发《关于进一步加强内地西藏班工作的意见》《内地西藏中学班(校)管理实施细则》的通知[Z].1992-09-10.

[26]教育部关于印发《普通高等学校招收内地西藏班、新疆高中班学生工作管理规定》的通知[Z].2005-03-30.

[27]教育部国家发展改革委财政部关于进藏干部职工子女内地就学享受当地生源同等待遇的意见[Z].2011-08-29.

[28]教育部办公厅关于下达2018年内地西藏、新疆中职班招生计划的通知[Z].2018-04-17.

[29]贺新元.和平解放以来民族政策西藏实践绩效研究[M].北京:社会科学文献出版社,2015:503.

[30]国务院关于八省、自治区蒙古语文工作协作会议情况报告的批复[Z].1977-11-07.

[31]教育部、国家民委关于加强民族教育工作的意见[Z].1980-10-09.

[32]中华人民共和国义务教育法实施细则[Z].1992-03-14.

[33]国务院关于深化改革加快发展民族教育的决定[Z].2002-07-07.

[34]教育部办公厅关于召开民族教育专题规划纲要编制工作座谈会的通知[Z].2010-08-11.

[35]国务院扶贫办综合司、教育部办公厅《关于开展“学前学会普通话”行动的通知》[Z].2018-07-30.

[36]国家教委、国家民委印发《关于内地与边远民族地区高等院校支援协作会议纪要》的通知[Z].1987-11-03.

[37]国家民委关于印发《国家民委高等教育事业“九五”计划和2010年发展规划纲要》的通知[Z].1996-10-23.

[38]国务院关于深化改革加快发展民族教育的决定[Z].2002-07-07.

[39]国家民委教育部关于进一步办好民族院校的意见[Z].2005-12-15.

[40]国家民委关于印发《国家民委所属高校改革和发展“十三五”规划》的通知[Z].2016-09-30.

[41]教育部办公厅关于印发《内地西藏班、内地新疆高中班管理办法》的通知[Z].2010-08-17.

[42]国家民委、教育部关于大力发展少数民族和民族地区职业教育的意见[Z].2007-01-29.

[43]国家教委办公厅、国家民委办公厅关于印发《全国教育对口支援协作工作会议纪要》的通知[Z].1994-03-10.

[44]国家教委民族地区教育司关于印发《全国民族教育发展与改革指导纲要(试行)》的通知[Z].1992-10-21.

[45]国家民委全国总工会共青团中央全国妇联关于进一步做好新形势下民族团结进步创建工作的指导意见[Z].2020-01-17.

[46]国家民委、教育部、财政部关于民族学院干部轮训转向正规培训的意见[Z].1983-07-07.

[47]中央宣传部、教育部、国家民委《关于在学校开展民族团结教育活动的通知》[Z].2009-08-20.

[48]教育部办公厅国家民委办公厅关于继续开展加快发展民族教育督查工作的通知[Z].2017-10-13.

[49]教育部关于印发《中小学少数民族文字教材管理办法》的通知[Z].2021-08-30.

[50]教育部办公厅关于印发《内地西藏班、内地新疆高中班管理办法》的通知[Z].2010-08-17.

[51]马戎.旗帜不变,稳住阵脚,调整思路,务实改革——对中央民族工作会议的解读[J].青海民族研究,2015(02).

[52]周炜.西藏的语言与社会[M].北京:中国藏学出版社,2003:101.

[53]马戎主编.内地办学的运行机制与社会效果:内地西藏班、新疆班专题研究[M].北京:社会科学文献出版社,2016:116,138.

[54]马戎.族群、民族与国家构建[M].北京:社会科学文献出版社,2012.

[55]关于加强内地西藏班学生思想品德教育和法制观念教育的通知[Z].1993-04-06.

[56]尤权.做好新时代党的民族工作的科学指引学习贯彻习近平总书记在中央民族工作会议上的重要讲话精神[J].中国民族,2021(11).

[57]教育部办公厅国家民委办公厅关于开展加快发展民族教育督察工作的通知[Z].2016-04-21.

[58]教育部办公厅国家民委办公厅关于继续开展加快发展民族教育督查工作的通知[Z].2017-10-13.

[59]袁振国主编.教育政策学[M].南京:江苏教育出版社,2001:323.

[60]省教育厅等八部门关于印发《贵州省深化高考加分改革实施办法》的通知[Z].2021-03-28.

[61]万明钢,杨金香.新时代我国民族教育差别化支持政策价值分析[J].西南民族大学学报(人文社会科学版),2022(10).


Evolution of the Commonality and Differentiation of the People's Republic of China's Ethnic Education Policy:Overall Trends and Specific Areas

TANG Yi-shan, TANG Zhi-song


(责任编辑:程融)

本刊初审:刘羽田;复审:王晓燕;终审:蒋立松