摘要:使用凉山州2010年人口普查资料和凉山地区2000年、2007年及2015年各阶段的在校学生数据,计算出凉山地区汉族和少数民族学生的平均受教育年限、教育基尼系数以及教育基尼系数的民族分解和城乡分解。通过与全国其他地区和民族的横向比较发现:2010年凉山地区教育获得水平显著偏低,民族差异是导致教育获得差异的决定因素。通过对凉山地区近15年来教育获得的纵向比较,发现以下四点特征:第一,凉山地区汉族和少数民族教育获得水平均显著提高;第二,凉山地区教育获得的族际差异现象更为突出;第三,民族因素成为导致凉山地区教育不均衡的重要影响因素;第四,农村少数民族内部教育不均衡加剧。建议集中教育资源大力提升凉山二、三类地区农村少数民族教育水平。
关键词:教育获得;平均受教育年限;教育基尼系数;教育扶贫;凉山
一、问题的提出
2020年贫困人口实现全面脱贫是党中央国务院工作任务的重中之重。通过“发展教育脱贫一批”是五大精准扶贫精准脱贫的重要途径之一。教育不仅是阻断贫困代际传递的有效措施,其提高人力资本的作用也已经得到大量研究证实。
自2004年国家在西部地区实施“两基”攻坚计划以来,四川省和凉山州在提高农村地区办学条件,建设民族寄宿制学校,推进民、汉双语教育等方面做了大量投入并取得了一定成效。党的十八大以来,《中共中央国务院关于打赢贫困攻坚战的决定》进一步将“让贫困家庭子女都能接受公平而有质量的教育,阻断贫困代际传递”确立为战略指导思想。四川省继而推出《四川教育扶贫专项计划》,拟投入91.83亿元帮助贫困县学生解决就学困难。那么,在长期倾斜性政策的强力驱动之下,凉山地区教育获得的情况如何?能够为教育精准扶贫提供哪些可行性思路?笔者通过分析凉山地区民、汉学生教育基尼系数,对上述问题展开探讨,在此基础上提出可行性建议。
二、文献综述
布迪厄认为学校教育是将资本(包括经济资本、社会资本和文化资本)进行代际传递的重要且隐秘的方式,是实现阶级地位再生产的最有效途径之一。[1]科尔曼和普特南将社会资本再生产的研究进一步拓展为组织和群体通过互动对社会网络资源进行巩固和维护,为群体内部成员发展服务的方式。[2][3]布迪厄和科尔曼等人的研究在教育领域影响深远,为经验研究提供了理论框架。家庭背景,包括家庭经济收入、父母职业和受教育程度至今都是衡量教育获得的重要指标。[4][5]父母的教育参与、社会资本、社会网络资源和文化资本也进一步操作化为具体测量指标,用以评估学生的教育获得和学业成就。[6][7][8]从根本上讲,上述研究均涉及教育不平等问题及其维系方式。
国家教育政策变动同样是研究教育平等问题的重要因素。汉纳姆将中国教育发展的历史变迁归纳为“平均主义模式”向“自由竞争模式”的转变。[9]杨东平以“文革”时期为基点,将新中国成立以来的教育发展分为三个时期,认为我国教育发展经历了从教育权力平等到教育机会平等的跨度,而制度性因素是影响教育平等的主要原因。[10]李春玲的研究也表明在经历了20世纪70年代以前教育机会平等分配之后,教育机会虽然持续猛增但其不平等分配的现象日益明显。这种变化趋势与中国社会政治经济变迁和政策转变紧密相关。[11]本文以凉山民、汉学生教育获得为切入点,分析自2000年以来政府教育政策支持和资金投入的实际效能。根据胡森、科尔曼和勒文等学者的理论,教育平等可以大致分为受教育机会获得的平等、教育过程平等和教育结果平等。[12]作为研究教育平等的可操作化指标,教育获得已经得到广泛应用。[13][14][15][16]入学机会获得、教育过程获得和教育结果获得的平等性是教育获得不可分割的三个层面。基于此,本文通过探讨教育获得差异了解凉山地区民、汉学生的教育平等问题。
目前,学术界对于教育获得的研究成果丰富。吴愈晓通过对CGSS2008数据分析证明了教育获得的城乡差异以及城乡居民教育获得的性别差异。[17][18]孙百才、刘云鹏、张洋、何立华、陈沅、成艾华等通过对近三次全国人口普查数据、跨省面板数据进行受教育年限、教育基尼系数分析,指出我国在教育获得方面的地区差异、城乡差异、民族差异和性别差异,用实证的方法体现出我国各民族、地区之间教育发展不平衡的现状。[19][20][21][22][23]
本文沿用平均受教育年限和教育基尼系数等指标,分析凉山地区民、汉学生教育获得的现状和发展情况。通过与其他地区和民族的横向比较与凉山地区近15年来发展情况的纵向比较,对凉山地区教育发展取得的成效和不足进行准确定位,为凉山地区教育精准脱贫规划提供参考。
三、数据与测量方法
(一)数据来源
本文所使用的数据包括两部分内容。第一部分是凉山州2010年人口普查的数据资料。通过计算平均受教育年限、教育基尼系数和教育基尼系数的民族分解,与我国其他地区和民族的相关指标进行横向比较,在全国教育发展的框架下了解凉山地区教育。第二部分数据来源于凉山州相关单位,包括了2000年、2007年和2015年凉山州小学、初中和高中各阶段的在校学生数。由于全国人口普查每10年进行一次,凉山地区面临2020年实现精准脱贫的重任,准确把握凉山地区教育发展情况具有相当的重要性。因此,笔者将凉山州在校学生数作为总量,以2000年、2007年和2015年的数据为横切面,对小学、初中和高中三个阶段在校生的平均受教育年限、教育基尼系数、教育基尼系数民族分解和少数民族教育基尼系数城乡分解进行计算并做纵向比较,①从而了解凉山地区近15年来的教育政策支持和资金投入在教育获得方面的具体成效与不足。
(二)测量方法
测量教育平等和教育获得的指标很多,毛入学率、净入学率、升学率、巩固率、辍学率均是衡量教育获得的经典指标。鉴于笔者所掌握数据的特征,本文选择平均受教育年限和教育基尼系数作为衡量教育获得的指标。近年来,教育基尼系数测量在国内学术界得到广泛使用。[16][17][20][21]本文测算教育基尼系数的方法参见张俊森、李天佑及何立华、成艾华等的研究。[13][20]
1.平均受教育年限。以各阶段受必赢优惠y272net生数的分组数据为基础,以各阶段受必赢优惠y272net生数比重为权重计算总体受教育程度的加权平均值。计算公式为:

其中,i表示受教育程度的等级,i=1、2、3、4、5分别代表未上过学、小学、初中、高中和大学专科及以上,n=5表示教育的最高等级;pi是最高一级受教育程度为i的人口在总体人口中的比重;yi是各级受教育程度的年限,在这里未上过学、小学、初中、高中和大学专科及以上的受教育年限分别赋值为0、6、9、12、16年。
2.教育基尼系数。教育基尼系数是在测量收入分配差异的基尼系数基础之上发展起来的,它的取值范围在[0,1]之间。基尼系数越大,表明教育发展越不平等。计算公式为:
其中,μ代表整体人口的平均受教育年限;pi和pk分别表示受教育程度为i和k的人口在总体中的比重;yi和yk分别表示受教育程度是i和k的对应年限。
3.教育基尼系数的分解。教育基尼系数能够体现研究对象教育发展的现状和平等程度。如果要进一步了解教育不平等的影响因素,就需要对教育基尼系数进行分解。鉴于此,本文将继续参照张俊森和何立华等人的研究,利用如下公式进行教育基尼系数的民族和城乡分解:

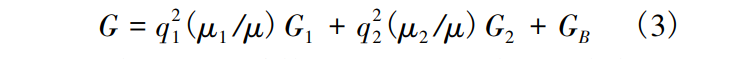
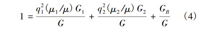
以教育基尼系数的民族分解为例,其中,μ是总人口的平均受教育年限,qi、μi和Gi分别表示汉族和少数民族的比例(i=1代表汉族,i=2代表少数民族),汉族和少数民族的平均受教育年限以及汉族和少数民族的教育基尼系数,GB表示组间差异对总体教育不平衡的贡献。这样,教育基尼系数就可以分解为汉族和少数民族分别对教育不平衡的组内贡献以及汉族和少数民族的组间差异贡献。如果将教育基尼系数标准化为1,公式(3)可以表示如下:

其中,q21(μ1/μ)G1/G和q22(μ2/μ)G2/G分别代表汉族和少数民族的相对贡献,GB/G代表汉族和少数民族的组间差异相对贡献。
四、数据结果及分析
本研究将平均受教育年限作为测量教育获得的指标。笔者首先以凉山州2010年人口普查数据资料为基础,分析凉山州6岁及以上人口的平均受教育程度(式1),并与全国其他地区和民族的同类数据进行比较之后,再基于2000年、2007年和2015年凉山地区在校生总量计算平均受教育年限、教育基尼系数及其民族与城乡分解,比较近15年来凉山地区教育获得的发展情况。
(一)凉山地区的教育发展:与全国其他地区和民族的横向比较
基于2010年人口普查数据资料的计算结果表明,凉山地区2010年的平均受教育年限为6.282年,与全国同期(8.805年)相比低2.523年。2010年我国民族地区的平均受教育年限为8.101年,略低于全国平均水平,但比凉山地区高出1.819年。同时期,新疆的平均受教育年限为8.922年,优于凉山地区发展水平。[20]
从民族间受教育程度的横向比较来看,2010年凉山地区汉族和少数民族的平均受教育年限分别为7.712年和4.871年,相差近3年。从原始资料看,造成如此显著差距的主要原因在于少数民族未上过学的6岁及以上人口基数是汉族的近4倍。笔者在2018年的实地调查中也发现,凉山地区存在大量义务教育阶段的超龄人口,这部分人口的教育问题是全面实施义务教育与“控辍保学”面临的难题。由于他们与适龄学生之间的年龄差距以及与之相关的心理、生理发展差异,会给学校管理带来很多实际问题。鉴于师资和教育硬件设施等方面的原因,一线教育部门和学校也不具备另设教学场所的能力。因此,要解决该问题,还需要各级教育部门进行统筹安排。
与2010年全国部分民族平均受教育程度的横向比较表明,凉山地区汉族的平均受教育年限(7.712年)低于全国汉族总体水平(8.89年)。2010年全国彝族的平均受教育年限为6.65年,高出凉山地区(4.871年)约1.78年。即便是与平均受教育程度最低的藏族(5.40年)和门巴族(5.22年)相比,凉山地区少数民族的平均受教育年限仍然相对偏低。[17]
在比较凉山地区学生平均受教育年限之后,笔者采用教育基尼系数作为测量教育不平衡的指标,并对教育基尼系数进行了民族分解(式2、3、4),以期进一步了解凉山地区的教育发展情况。计算结果表明,2010年凉山地区的教育基尼系数为0.313,其中少数民族和汉族的教育基尼系数分别为0.366和0.233。由此可见,凉山地区少数民族教育发展的不平衡程度高于汉族。教育基尼系数的民族分解表明,少数民族和汉族对教育基尼系数的组内相对贡献率分别为23.03%、22.59%,而少数民族和汉族的组间相对贡献率达54.38%。该结果表明,汉族和少数民族之间的差距是造成凉山地区教育不平衡的关键因素。鉴于2010年凉山地区的农业人口占总人口的88.55%,城乡差距十分明显,人口普查原始数据中并没有对6岁及以上城乡人口的受教育程度进行分类统计。但是,凉山地区城乡人口比例的差距本身说明,城乡因素应当是影响教育平等的重要因素之一。
(二)近15年来凉山地区教育发展的纵向比较
根据自然地理、经济社会发展水平和普及九年义务教育的时间先后等因素,四川省民委在《四川省民族地区教育发展十年行动计划(2011—2020年)》(以下简称《行动计划》)中将民族自治地方51个县(市)分为三类地区,其中包括凉山州1市16县。本文将参照《行动计划》的划分,重点对近15年来凉山州三类地区的教育发展情况进行分析。
1.凉山地区的教育获得情况
笔者基于2000年、2007年和2015年凉山地区在校生总量计算得出表1结果。数据结果表明,近15年来凉山地区教育发展取得了比较显著的成就,平均受教育年限从2000年的6.65年增长到2015年的7.19年,增长了8%。少数民族的增长幅度也有所降低(3.34%)。就三类地区教育整体发展情况而言,近15年来一类地区教育发展水平始终高于二、三类地区;三类地区少数民族教育发展状况与之一致。但是,一类地区汉族学生的教育发展水平曾于2007年略低于二、三类地区汉族。由此可见,凉山地区整体教育发展仍然缺乏稳定性。今后教育发展不仅要保证学生入学机会平等,还要努力提高教育过程的平等性,让学生进得来、留得住。
表1 凉山地区汉族/ 少数民族的平均受教育年限

另外,通过对三类地区教育增长速度的比较发现,汉族前7年的高增长率主要出现在二类(12.27%)和三类地区(10.47%)。时至2015年,汉族和少数民族的教育增长水平差距已经大大缩小,在二类地区已经基本持平(3.37%3.31%)。相对来说,第三类地区应该是凉山地区教育发展的难点之所在。即便是在近15年来教育整体发展的趋势之下,第三类地区少数民族2015年的平均受教育年限(6.46年)也仅仅略高于其2000年的平均水平(6.37年)。
农村少数民族教育制约了凉山地区少数民族整体教育的发展。表2结果显示出凉山三类地区城乡少数民族平均受教育程度的差距。数据表明,三类地区农村少数民族的平均受教育年限一直呈增长趋势,且一类地区教育发展优于其他两类地区。2015年,一类地区农村少数民族的平均受教育年限达到7.097年,接近凉山地区当年的平均水平(7.19年)。城市少数民族的平均受教育程度增长不稳定。一、二类地区在2007年呈现峰值后于2015年有所下降。整体来看,二、三类地区农村少数民族学生的教育发展是制约凉山地区教育发展的瓶颈。
表2 少数民族城乡学生的平均受教育年限
2.凉山地区教育不平衡及其民族分解
在了解凉山地区平均受教育年限差异之后,笔者基于式(2)计算出2000年、2007年和2015年凉山三类地区少数民族和汉族的教育基尼系数,用以衡量凉山地区的教育平衡。(见表3)
表3汉族/少数民族的教育基尼系数
整体看来,按照Lin[22]对教育基尼系数的区间分级,凉山地区的教育基尼系数均在低区间0.3以下,说明凉山地区教育发展整体上是比较平衡的,且属于低水平的平衡。如表3所示,随着政府对凉山地区教育发展的政策性倾斜,其教育发展的不平衡现象逐渐突出,少数民族和汉族的教育不平衡均呈增长趋势。从2000年到2015年,少数民族的教育基尼系数从0.053增长到0.103;汉族的教育基尼系数从0.097增长到0.122。一类地区汉族和少数民族的教育发展不平衡程度均高于二、三类地区。这与李春玲对1940年至2001年中国社会教育机会分配形态的变化趋势相一致。[11]
那么,民族因素对凉山地区教育不平衡的具体影响情况如何?笔者通过式(3)和式(4)的计算对汉族和少数民族的教育基尼系数贡献率进行分解,结果如表4所示。
表4汉族/少数民族的教育基尼系数民族分解
整体来看,近15年来少数民族对教育不平衡的组内相对贡献率逐渐提高,从9.58%上升到36.04%;汉族的组内相对贡献率从44.47%降低到14.24%;汉族和少数民族的组间差异相对贡献率从45.96%上升到49.72%,接近50%。由此可见,凉山地区的教育不平衡主要来源于民族差异,而且民族间的差异越来越成为导致凉山教育发展不平衡的重要因素。这与凉山州2010年人口普查数据计算的结果一致。另外,少数民族对教育不平衡的组内贡献显著增长,时至2015年已经是汉族的两倍。
三类地区教育基尼系数的民族分解也呈现出差异性。自2000年以来,一类地区少数民族对教育不平衡的组内相对贡献率由2.58%增长到14.07%;汉族对教育不平衡的组内相对贡献由2000年的70.18%降低到38.06%,出现大幅度下降;同时,汉族和少数民族的组间差异相对贡献率由27.24%增长到47.88%。实际上,自2004年“两基”攻坚实现教育扩张以来,凉山一类地区的招生对象中少数民族学生数量逐渐增多。从2000年到2015年,一类地区小学、初中和高中的少数民族在校生比例从17.40%增长到40.67%,生源变化使民族差异成为导致该类地区教育不平衡的主要因素。
2000年,民族差异是造成二类地区教育不平衡的最主要因素。民族组间差异相对贡献率为51.63%,汉族和少数民族各自的组内相对贡献率几乎持平。到2015年,汉族的组内相对贡献率降至2.79%,民族组间差异相对贡献率也降到29.94%;相反,少数民族的组内相对贡献率攀升到67.27%,几乎是2000年的3倍。由此可见,少数民族内部的差异成为二类地区教育不平衡的主要致因。
自2000年以来,少数民族组内差异一直是造成三类地区教育不平衡的主要因素,这种情况到2015年变得更为突出。汉族生源大量流失使得汉族的组内相对贡献率降至0.01%,几乎为零;民族间差异相对贡献率也降为2.73%。凉山地区在校生数据显示,从2000年到2015年,三类地区小学、初中和高中的少数民族在校生比例从96.12%增长到99.27%。这说明教育扩张使得第三类地区之前的校园民族互嵌式格局被打破,使之成为典型的少数民族学校。然而,研究结果表明,民汉合校更有利于提高少数民族学生的学习适应性,也更有利于促进各民族学生之间的交往互动和民族关系的健康发展。[23][24]
3.凉山地区少数民族教育不平衡及其城乡分解
凉山地区城乡少数民族教育基尼系数计算结果(见表5)表明该地区城乡少数民族的教育不平衡逐渐突出,且一类地区的教育发展水平相较于二、三类地区更为不平衡。自2000年以来,凉山地区农村少数民族的教育不平衡一直呈增长趋势,从0.028上升到0.099;三类地区农村少数民族教育不平衡发展趋势与之相同。相比之下,城市少数民族的教育不平衡在2000年和2007年之间从0.118上升到0.141,又在2015年降至0.128。
表5城乡少数民族的教育基尼系数
多项研究证明了城乡差异是影响民族地区教育平等的关键因素。[15][19][20]那么,国家推行的“两基”攻坚、“两免一补”和民族寄宿制等政策对凉山地区城乡少数民族教育发展产生了何种影响?整体而言,2000年、2007年和2015年农村少数民族对教育不平衡的组内相对贡献呈现快速增长趋势,从31.44%增至74.68%;城市少数民族对教育不平衡的相对贡献率从9.98%降为1.64%;同时少数民族城乡差异的组间相对贡献率也从58.58%降到23.68%(见表6)。三类地区城乡少数民族对教育不平衡的相对贡献趋势也与整体情况相同。由此可见,农村少数民族内部的差异性成为导致少数民族教育不平衡的主要因素。
五、结论与政策建议
教育的溢出效应以及教育对社会再生产的功能证明教育是实现长期脱贫、阻断贫困代际传递最持久的方式。本文沿用平均受教育年限、教育基尼系数以及教育基尼系数的民族分解和少数民族教育基尼系数及其城乡分解等方法考察凉山地区的教育获得情况。对凉山州2010年人口普查数据分析的结果表明该地区教育发展水平与全国其他地区和民族之间还有实际差距,且民族差异是导致凉山地区教育不平衡的决定因素。对凉山地区2000年、2007年和2015年各阶段在校学生的截面数据分析,更具体地体现出自2004年国家在少数民族地区和农村地区实行“两基”攻坚、“两免一补”、民族寄宿制等相关政策以来,凉山地区汉族和少数民族教育获得水平的发展情况。具体结论和政策建议可概括如下:
第一,凉山地区教育发展水平显著提高,汉族和少数民族学生的受教育年限均得到提高。通过对凉山三类地区教育发展水平的比较发现,一类地区的增长幅度明显优于二、三类地区。数据结果显示,经15年的政策倾斜和经济投入,第三类地区学生的平均受教育年限仍然处于停滞状态。而且,第三类地区正好是凉山少数民族高度集中的地区。在未来的精准扶贫政策制定过程中,应当集中力量解决第三类地区即深度贫困区学生的教育获得问题。
表6少数民族教育的基尼系数城乡分解
第二,随着教育机会的扩张,凉山地区教育不平衡现象更为突出。汉族、少数民族、农村少数民族的教育不平衡都呈增长趋势。从教育基尼系数分析来看,这种不平衡的增长仍然处在低区间(0.3)以内。
第三,民族差异成为凉山地区教育不平衡的重要影响因素。凉山州近15年的截面数据分析结果显示,该现象在一类地区更为突出。与之相比,少数民族组内差异日益成为二、三类地区教育不平衡的影响因素。笔者在访谈凉山地区教育部门管理人员时了解到该地区2018年的自主搬迁户初步统计达17万人,其中属于一类地区的州府所在地自主搬迁户占14万人左右。学生家庭流动产生的聚合效应使得一类地区民族间教育水平差距扩大,也同时加大了二、三类地区少数民族,尤其是农村少数民族内部的教育不平衡。自主搬迁户流动给迁入和迁出地的教育发展均带来重大影响。政府应在未来的精准扶贫工作中注重教育资源的均衡分配。鉴于民族差异是影响凉山第一类地区教育不平衡的主要因素,应加大对少数民族学生的扶持力度;针对二、三类地区少数民族农村学生教育获得水平相对较低的现状,应加大对该地区农村少数民族学生的教育倾斜力度。通过大幅度提高艰苦地区教师的薪酬待遇吸引师资。同时增加二、三类地区网络课程资源开放程度,培训该地区教师使用网络课程的能力,保证农村学生能够享受到优质教学资源。
综上,要提高凉山地区教育水平,实现教育精准扶贫,应当改变资源倾斜全覆盖的现状。不再把民族作为资源分配的核心标准,而应当重视凉山内部三类地区差异,重视少数民族内部的城乡差异,将教育资源集中投入到二、三类地区的农村学校,切实改变该地区学生不能平等获得教育机会的现状。
注释:
①2000年、2007 年和2015年凉山州在校学生数据统计口径一致,具有可比性。
参考文献:
[1]BOURDIEU P. The forms of capital[M].Blackwell Publishers Ltd,1986.
[2]COLEMAN J S,CAMPBELL E Q,HOBSON C J.Equality of educational opportunity. Washington,DC: National Center for Educational Studies ( DHEW/ OE) ,1966.
[3]PUTNAM R.“The prosperous community: social capital and public life”[J].American prospect,1993( 13): 35-42.
[4]CARO D,MCDONALD J,WILLMS J.“Socio-economic Status and Academic Achievement Trajectories from Childhood to Adolescence”,Canadian Journal of Education[J].Revue canadienne de L'éducation,2009(3):558-590.
[5]CHOWDYH,CRAWFORD C,DEARDEN L,etal.“Widening participation in higher education: Analysis using linked administrative data”[J].Journal of the royal statistical society.Series A ( Statistics in Society),2013(2):431-457.
[6]TEACHMAN J D,PAASCH K.“The family and educational aspirations”[J].Journal of marriage&family,1998(3):704-714.
[7]杨宝琰,万明钢.父亲受教育程度和经济资本如何影响学业成绩———基于中介效应和调节效应的分析[J].北京大学教育评论,2015(2):127-145.
[8]赵延东,洪岩璧.社会资本与教育获得———网络资源与社会闭合的视角[J].社会学研究,2012(5):47-68.
[9]HANNUM E.“Political change and the urban- rural gap in basic education in China,1949-1990”[J].Comparative education review,1999(2):193-211.
[10]杨东平.从权利平等到机会均等--新中国教育公平的轨迹[J].北京大学教育评论,2006(2):2-11.
[11]李春玲.社会政治变迁与教育机会不平等———家庭背景及制度因素对教育获得的影响(1940—2001)[J].中国社会科学,2003(3):86-98.
[12]刘精明.教育公平与社会分层[M].北京:中国人民大学出版社,2016:6-7.
[13]ZHANGJ S,LI T Y.“International Inequality and Convergence in Educational Attainment: 1960-1990”[J].Review of development economics,2002(3):383-392.
[14]吴愈晓,黄超.中国教育获得性别不平等的城乡差异研究———基于CGSS2008数据[J].国家行政学院学报,2015(2):41-47.
[15]吴愈晓.中国城乡居民教育获得的性别差异研究[J].社会,2012(4):112-137.
[16]孙百才,刘云鹏.中国地区间与性别间的教育公平测度:2002-2012年———基于人口受教育年限的基尼系数分析[J].清华大学教育研究,2014(3):87-95.
[17]孙百才,张洋,刘云鹏.中国各民族人口的教育成就与教育公平———基于最近三次人口普查资料的比较[J].民族研究,2014(3):25-36.
[18]孙百才.测度中国改革开放30年来的教育平等———基于教育基尼系数的实证分析[J].教育研究,2009(1):12-18.
[19]何立华,陈沅.民族地区教育发展的城乡差距及其影响因素分析———基于2002-2013年省际教育面板数据[J].民族教育研究,2017(6):87-94.
[20]何立华,成艾华.民族地区的教育发展与教育平等———基于最近三次人口普查资料的实证研究[J].民族研究,2015(4):11-21.
[21]李长安,龙远蔚.民族地区教育公平问题研究———基于2011年广西调查数据的实证分析[J].民族研究,2013(5):35-44.
[22]LIN C H A.“Education expansion,educational inequality,and income inequality: evidence from Taiwan,1976 –2003”[J].Social indicators research,2007(3):601-615.
[23]李晓霞.新疆民汉合校的演变及其发展前景[J].新疆大学学报(哲学社会科学版),2001(2):22-28.
[24]刘革,霍甲·艾合买提,阿不力克木.新疆民汉合校与非民汉合校少数民族中学生学习适应性比较[J].青海民族研究,2014(1):103-105.
Educational Attainment in Liangshan: Analyses with Education Gini Coefficient (2000-2015)
WANG Li-juan
Abstract:Using students' enrollment data of 2000,2007 and 2015 from Liangshan Prefecture and Liangshan's census data of 2010,we calculated the average years of schooling of Han and minority students, education Gini coefficient and their decompositions. A horizontal comparison between Liangshan and other areas and ethnic groups in China shows that the level of educational attainment was significantly low in Liangshan in 2010,and ethnic differences are the determinants of educational inequality. While a longitudinal comparison of educational attainment in recent 15 years shows that (1) educational attainment level of Han and minority students has been markedly ameliorated from 2000;(2) educational inequality has been aggravated without exception;(3) ethnic differences are important factors of educational inequality;and (4) educational inequality in rural ethnic groups has aggravated. It is suggested that educational resources should be centralized to improve educational level of rural ethnic groups in the second and third class areas of Liangshan.
Key words:educational attainment;average years of schooling;education Gini coefficient;poverty alleviation through education;Liangshan
责任编辑:程紫嫣