******必赢优惠y272net(China)最新App Store
大众传播视角下深化民族团结进步教育的文艺路径探析
作者:严庆 姜术容来源:《西南民族大学学报(人文社会科学版)》2019年第8期

摘要:重在基层、面向大众,是新时代深化民族团结进步教育的努力方向,大众传播以其服务面向宽广、媒介方式灵活、内容呈现多样的特点,为深化民族团结进步教育提供了有效载体和平台支持。跨文化沟通、理解、欣赏是滋养民族团结进步良好心态的基础,蕴含民族因素的文艺形式在增进民族文化交流方面具有明显优势和较大潜力。依托大众传播载体,拓展民族文化交流的文艺路径是深化新时代民族团结进步教育的可资选择。

关键词:大众传播;民族团结;文艺路径;网络舆情

深化民族团结进步教育是新时期民族工作的重要内容,而“深化”的意涵,既体现为深入基层的教育面向,也体现为深及内心的教育成效。从当前实施民族团结进步教育的路径或方式来看,传统的组织传播和人际传播方式依然是主要依托,诸如各地设立民族团结进步教育基地、设置民族团结进步教育活动月、组织系列民族团结进步宣传教育活动等,这类自上而下的实践方式,易受时空局限性而存在宣传不到位或宣传深度不够的问题,这与达致“深化”的要求还有相当大的距离。

与深入基层、面向大众的教育要求相适应,大众传播(mass communication)凭借报刊、杂志、书籍、广播、电视、电影等多种载体介质,向社会大众传递各种信息资讯,扩大了受众接收信息、知晓政策、交往互动的时空范围,为深化民族团结进步教育提供了重要通道。其中,文艺作为大众传播的重要内容,作为文化传播与文化建设的重要载体,可以促进各民族之间的文化理解与相互欣赏,形成“美人之美”“美美与共”的效果,从而为深化民族团结进步教育提供民族知识累积和良好心态氛围。这就意味着,借助大众传播的载体和平台,负载民族因素和真善美价值的文艺形式可以更好地服务于深化民族团结进步教育。

一、便捷与覆盖:大众传播为深化民族团结进步教育提供了载体

作为一种传播形式,大众传播借助多样化的媒介,可以实现国家政策与社会之间的有效互动。正如斯坦利·巴伦指出的,“当消息来源使用一项技术作为媒介与大规模的受众进行沟通时,大众传播就发生了”[1]。因此,作为一种沟通路径,大众传播就是指“特定社会集团利用报纸、杂志、书籍、广播、电影、电视等大众媒介向社会大多数成员传送消息、知识的过程”[2]。相较于传统的组织人际间沟通方式而言,大众传播在范围、方式等方面具有明显不同,主要表现在大众传播“比自我传播、人际传播、团体传播和组织传播都要广泛”[3],具有“跨阶层、跨群体的广泛社会影响”,且是“以满足社会上大多数人的信息需求为目的的大面积的传播活动”[4]。概括而言,大众传播面向的是整个社会,尤其是能够实现社会基层的全覆盖。就此而言,大众传播可以实现广泛的信息传递和价值渗透,可以成为文化建设、社会建设的重要工具之一。

自20世纪30年代以来,大众传播便因其巨大触及面和外在影响力备受社会各界的关注。值得注意的是,相关研究认为,与官方强制灌输性传播相比,大众传播可以对受众产生“涵化”作用,在传播学中,揭示该效应的理论称之为“石笋理论”,与观念培养理论或涵化理论交互使用,该理论指出“信息的传播可以对受众的心理和认知产生影响,但传播内容能够发挥作用则需要一个累积性的、不易被察觉的过程。该理论指出,媒介效果的产生类似于钟乳石洞穴地面上的石笋,在无数世纪中由洞顶不断滴下的石灰水逐渐沉积而成。只有通过延时拍照之类的机制,观察者才能看到水不断滴、滴、滴的(水滴石穿)效果”[5]。可以说,这一理论很好地阐释了大众传播在进行民族团结进步宣传中的作用,在大众传播媒介中植入民族团结进步教育的内容可以发挥润物细无声的作用,并且这种传播模式更容易被受众接受,从而达到更好的传播与引导效果。

大众传播媒介所孕育出的民族团结进步教育文艺路径,则是“石笋理论”发挥作用的体现之一。民族团结进步教育文艺路径,是指各族人民借助现代传媒技术,以文学与艺术展演的方式,将各自民族特色文化成果与社会生活样态呈现出来,从而让全社会了解相关民族的当代风貌、艺术审美、文化特色等内容,并在欣赏与认知的基础上促成民族间互信、友好等社会心态的生成。这一路径与传统的政治传播活动不同,以声情并茂的民族文化才艺展示来打动、感染受众,以此达到传播民族知识、增进民族了解、实现民族亲和的目的。概括而言,大众传播所建构的文艺路径对当前民族团结进步教育以及民族团结进步创建具有以下意义。

(一)改善民族团结进步政策传导机制,深化教育效果

从多民族国家建设的角度来看,民族团结进步是一项规约和引领社会行动的政策,民族团结进步教育则属于政治传播的内容。政治传播指的是政治共同体的政治信息的扩散、接受、认同、内化等有机系统的运行过程,是政治共同体内与政治共同体间的政治信息的流动过程。[6]从学者对政治传播的这一定义中可以看出,政治信息是政治传播的核心,简单地讲,政治传播就是通过一定传播媒介将政治信息传播出去的过程。那么这个过程需要借助的手段有很多,一般认为政治传播的媒介可以分为组织传播、大众传播媒介和人际传播[7]

传统的政治传播主要借助组织中介和人际中介,但随着信息化社会的发展,政治传播的“中介”也由原来的组织中介、人际中介向大众媒介倾斜,即在政治组织内的政治信息的流通也越来越依赖大众媒介[8]。就当前民族团结进步教育的政策传播而言,应该以组织传播为主,组织传播与大众传播相结合为辅。就当前民族团结进步教育的政策传播而言,是以组织传播为主,组织传播与大众传播相结合为辅。但从当前有关民族团结进步教育的宣传形式来看,大都是通过组织的上传下达或是通过媒体进行单向性的宣传,这样的传播方式保证了传播内容的正确性和权威性,但不足是还不能很好地满足人们对于民族知识、民族文化等民族常识性信息的获取。而获取相关的民族常识性信息则有助于增进民族之间的理解,乃至对于民族政策实施的理解和支持。也就是说,加强民族团结进步教育既要重视实现“知之为知之”,还要重视通过“晓之以理”而实现知之。

除了在政策社会传播的过程中尽量做到“晓之以理”,还要在传播方式选择上注重“晓之以理”。大众传播媒介所塑造的文艺路径便明显地具有这样的特征,即通过各民族对自身文化才艺的展示及其对民族风情、民族经济社会发展状况的介绍,构建传播主体与受众的平等关系,形成信息的自然传递,让受众在轻松的氛围中了解民族文化、民族性格与民族心理,抑或间接了解民族政策。这种传播方式是通过柔性的传播策略安排,让受众在自愿自主的心态中了解、辨识、欣赏、接受民族之间的差异,从而达到传播与教育兼顾,感受与告知齐备,这无疑有助于深化民族团结进步教育的效果。

(二)拓展民族团结进步宣传的广度,增加教育覆盖面

在传统政治传播模式下(包括传达文件,组织专题活动,设置标语、橱窗等),政策传播的范围受限于传播媒介的局限性,政策传播很难覆盖到社会的各个角落。我国在大众传播媒介的硬件方面已经具备了良好的条件,统计显示,截至2018年12月,我国网民规模达到8.29亿,互联网普及率达59.6%;我国手机网民规模达8.17亿,网民中使用手机上网的比例达到98.6%,手机上网已成为网民最常用的上网渠道之一;网络直播用户规模达3.97亿;人均周上网时长27.6小时;微信朋友圈、QQ空间用户使用率分别为83.4%、58.8%;网络音乐用户规模达5.76亿,网络文学用户规模达4.32亿,网络视频用户规模达6.12亿[9]。也就是说,大众传播的技术支撑已经基本覆盖全社会,这为利用文艺路径广泛开展民族团结进步教育提供了前所未有的平台。

在全媒体时代,让民族团结进步教育的传播内容深入到民众心中,关键在于充分利用大众传播媒介,实现从居高临下的“上政下达”向润物无声的受众自发、自愿接受转变。实践表明,大众传播媒介因其传播速度快、影响范围广的原因,已经成为当前人们信息来源的重要窗口。有研究表明,“在现代社会中,人们头脑中关于‘社会图景’的信息95%以上是通过大众传播媒介获知的”[10],因此大众传播媒介为我们提供了“一个稳定的、全面的信息传递系统”[11]。另外,大众传播媒介打破传统的面对面交流与信息沟通的障碍,其所面对的受众“通常要比任何团体、人群或者公众都要庞大得多,受众的分布广阔,而且其成员通常彼此互不相识,或不被使受众得以形成的人所认识”[12]。这不仅可以有效提升民族团结进步宣传的广度,而且还可以通过大众传播平台为民众与素未谋面的“陌生人”互动、沟通提供便利。

(三)增进民族间互相了解,消解因“过失无知”而导致的负面影响

大众媒介除了影响范围广、影响时速快之外,还有一个非常重要的特点,即随着传播技术的发展,特别是随着电视、网络的普及,“公众可以通过(这些)媒介获得远离自己直接经验认知范围的认知对象的信息”[13]。在传统的传播方式下,大众面对政府宣传的政策,只知其一而不知其意。就民族团结政策而言,往往存在口号式的领会与执行,究其原因,主要是人们对其他民族事项存在“知识缺陷”(knowledge deficit)。这种缺陷往往来源于人们因地域差异或距离遥远而产生的对其他民族的文化神秘感、陌生感,而这种知识缺陷的存在有时会导致“偏见、失当的认知”,该种“无知”是不符合实际的,持有该种“无知”的行为者在具体行动中有时会无意诋毁和中伤其他民族群体,但又非出于故意,属于过失[14]。如笔者之前撰文所阐释的《探访云南最原始的傈僳族部落》的报道即是如此。这种认知和行为的出现往往会导致不利于团结的负面影响,这与当前所倡导的民族团结政策是相背离的。

增进民族之间的了解,利用大众传媒向社会传播不同民族间的文化与信息,成为了避免过失无知的重要途径。例如,2019年2月22日,中央电视台综艺频道所播出的《星光大道》首期周赛现场上,“摩梭在春天”组合在表演完精彩的节目之后,向观众介绍了摩梭人的走婚习俗。他们的讲述也通过荧屏传到了千家万户,这无疑有助于矫正外界对摩梭人习俗的误解。

二、镜像与负载:大众传播文艺路径中的民族交流功能

文艺(文学与表演艺术)除了具有展现形象的功能外,还具有认识、教育、审美、娱乐、宣传等功能,尤其是文艺通过具体、感性的艺术形象塑造能够帮助人们认识社会生活、历史风貌,扩大知识领域,丰富生活经验。文艺可以利用大众传播媒质塑造、呈现关于民族的镜像,各民族在大众传播中的镜像是通过不同民族的表演者、呈现者等具体塑造和呈现的,他(她)们在整体上构成了相关民族的象征与微缩景观,并成为各民族彰显其文化、观众了解其文化的重要通道。根据当前民族元素在大众传播媒介中活跃的领域等情况,本文将民族镜像在大众传播媒介中的体现分为才艺镜像与生活镜像。

(一)才艺镜像:民族文化的展示与社会表达

随着现代大众传播媒介的发展与普及,我们不再是单纯的信息生产者、消费者或传播者。借助大众传播媒介,各民族之间沟通的距离被缩短,沟通的实效也得以加强。各民族借助大众传播媒介,将本民族特色的文化通过才艺展示给受众,通过这一才艺镜像打开了受众了解其文化的窗口。

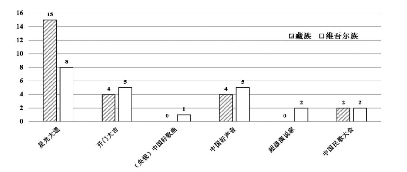
仅以“星光大道”“开门大吉”“中国好歌曲”“中国民歌大会”“中国好声音”“超级演说家”等电视选秀和比赛类节目来看,从2012年至今,仅维吾尔族、藏族就有48位选手参加了以上节目。其中维吾尔族同胞有23位,藏族同胞有25位,具体情况可见图1。

图1 藏族、维吾尔族参加节目情况统计

能歌善舞是这两个民族留给大家最深刻的印象,通过这些电视综艺类节目,藏族和维吾尔族传统的歌曲和舞蹈借助这些多才多艺的少数民族选手呈现在广大观众面前,为未到过这些地区的观众提供了最真实的民族文化风情体验。其中具有民族特色的歌曲在这两个民族的才艺展示中占了很大一部分,如《松赞干布与文成公主》《轮回》《莲花度母》《藏族风情》等藏族民歌,再如《巴郎仔》《玛依拉变奏曲》《花儿为什么这么红》等具有维吾尔族特色的民歌。尤其在“家乡美”的表现环节,舞台成为了民族文化、日常生活、价值审美的万花筒。伴随着嘉宾和主持人的点评,在轻松、愉悦的心境中,人们学会了民族文化审美与欣赏,也了解了相关民族的风土人情,矫正了刻板印象,丰富了民族知识。

文化是一个民族最为显著的特征,而文艺的形式则能较好地演绎和表达这些特征。可以说,不同民族借助综艺舞台将自身文化进行表达与传播,他们的形象与评价将在一定程度上代表这一民族在社会中的微观缩影。此种文艺镜像为各民族文化实现更广范围的传播提供了支持,观众也更为近距离地了解了这一文化,由兴趣爱好的相互认可到情感上的相互亲近,这是民族文艺镜像所带来的民族交流价值。

(二)生活镜像:民族形象与故事的书写

虽然文艺镜像为民族文化展示提供了窗口,为观众熟悉不同的民族文化提供了方便,但加深人们对其他民族生活的了解将更有助于不同民族熟悉度的提高。当前大众传播通过各种媒介将少数民族生活镜像化,为不同地区的人们提供了最为真实的民族生活场景,其中也融入了各民族对自身、对生活、对国家的情感诉说。这在展现不同民族真实生活风貌的同时也实现了受众与这些民族的虚拟互动,实现了对相关民族的认知或重新认知。

各民族形象的生活镜像在大众传播中主要包括书籍、报纸等文字类资料,当然也包括电视剧、电影、纪录片等影视类资料,另外还包括一些网络资料等。

2013年中央电视台综合频道播出的20集电视连续剧《阿娜尔罕》,向观众展示了20世纪40年代末50年代初南疆的社会生活及其向社会主义制度迈进过程中的经历,形象地展现了新疆人民用热情与汗水甚至献血捍卫人民政权的故事。2014年,库尔班江·赛买提历时一年打造的纪实图集《我从新疆来》,藉由中信出版社出版发行。2016年同名纪录片在全国公映,《我从新疆来》成为展现新疆各民族形象的代表性作品。这一作品记录了摄影师本人库尔班江·赛买提和100个在内地工作、生活的新疆人,这些新疆人分属不同的民族,年龄和性别不同,文化和宗教信仰也不同,他们生活在全国的不同地方。这本书一经问世便引起了广泛的社会反响。此外,近几年活跃在电影市场中的少数民族题材电影也越来越多,作为金鸡百花电影节的重要组成部分,“少数民族电影展”也在近几年以更高的姿态进入到百姓的视野中,如表现藏族人民生活的《红缘》《凡尘净土》《旺扎的雨靴》等,展现维吾尔族人民生活的《塔克拉玛干的鼓声》,反映彝族文化的《嫁衣》、展现湘西各民族团结故事的《茶缘》等等。这些充满民族地域文化特色的影片将镜头对准的是不同民族勤劳朴实的普通人,描写的是他们朴实又真挚的生活场景。作为受众最大的感受便是感叹作为中华民族文化重要组成部分的少数民族文化之博大精深,感叹因之前的不了解而存在的误解。通过这些作品,观众可以了解到无论这些人来自哪个地方、属于哪个民族,大家都是有着梦想并为之努力的普通人。毋庸置疑,这些影视剧作品通过大众传播平台的传播,正在悄然引导着公众的认知。

三、规范与方向:民族团结进步教育中的载体优化与发展引领

习近平总书记指出,“文艺也是不同国家和民族相互了解和沟通的最好方式”[15]。当下大众传播媒介所孕育出的文艺路径已经在深化民族团结进步教育方面发挥了显著的作用,但总体而言,当前我国运用大众传播方式在发挥文艺促进民族团结进步教育方面做得还不够。例如关于少数民族的文艺类节目同质化、形式化色彩较浓,将少数民族文化符号进行简单机械复制的现象还较为突出,其社会影响力尚且有限;另外还有些涉及民族元素的文艺类节目存在民族文化被过度包装的情况,一些单一的或带有偏颇的民族文化传播还可能产生负面效应。因此,为了更好地借力文艺路径,使其在民族团结进步教育中发挥成效,我们还需要从以下方面着手。

(一)优化大众传播媒介,丰富文艺内容内涵

当前,传播学领域处在由媒介融合到融媒体发展的变革时代,这一时代的到来意味着“信息的生成方式、传播方式、接受方式每天都在发生着变化,形成了高度互助的社交传播网络”[16],移动化、社交化、可视化成为大众传播的新特点。在这一背景下,拓展促进民族团结进步教育的文艺路径,一方面要呼吁更多的民族文学艺术创作者、表演者利用好新媒体传播技术,积极地参与到民族文化传播与创作的队伍当中,借助融媒体所提供的传播媒介优势,将本民族文化与民族风貌传递给更多的人。例如有的少数民族同胞借助抖音平台不时发布民族日常生活的场景,让浏览者感同身受。另一方面,随着媒介形式越来越丰富,要求相关政府部门、媒体负责人借助这一优势,增强民族文化在大众传播媒介中的吸引力和感召力,为各民族通过多样化的媒介传达、交流、共赏民族文化提供条件和政策支持,同时要创新民族文艺类活动的报道形式,使相关报道更具多样化特色。如加大对民族文艺类作品翻译工作的扶持力度,挖掘更具民族文化内涵的艺术作品,通过借助现代信息技术,将有关作品进行数字化制作并采取多渠道传播。积极推动民族文化的对外交流,如开展民族文化周、艺术周等活动,进一步提升民族文化在区域间、民族间的影响力、吸引力。

(二)规范传播内容,规约传播导向

为了发挥传播的正效应,媒体节目制作方要避免将民族文化及民族形象过度娱乐化。所谓民族文化及民族形象的过度娱乐化,是指媒体节目制作方在利用电视、网络等大众传媒展现少数民族形象与文化的过程中,在节目编排与节目类型的设置上、在标题的选择上单纯以受众的感官愉悦刺激为首要目的而忽略了节目本身所呈现内容的真实性与客观性。与民族文化及民族形象过度娱乐化联系的是功利化,指节目或作品制作者为了刻意追求收视率和关注度,乃至为了追求纯粹的经济利益而改变、改编民族文化原本的特质和精髓,从而制作出“假文化”。这些过度娱乐化、功利化的做法都不利于民族形象、民族文化的塑造与传播,甚至会带来负面影响。因为“民族文化形象的过度娱乐化与功利化让文化丧失了严肃性,失去了原有的精神内涵”[17],被歪曲的民族文化会损害相关民族的权益及其文化整体形象。

因此,借助大众传播媒介向受众传播民族文化和民族形象,要避免过度娱乐化与功利化,避免因错误传播而导致错误认知。一方面应该要求有关媒体担负社会责任,在涉及民族内容的传播中,要坚持贴近民族实际的原则,深入挖掘民族文化的精髓,将其中所蕴含的真善美部分展现在公众视野中;另一方面,在进行文艺创作的过程中应提倡文艺创新,如一些少数民族歌手将现代元素融入到本民族的原生态音乐中,希望借助这种方式实现民族传统音乐的现代转型。这种做法值得提倡,因为传统文化的现代化转型是一个不可逆的过程,但需要注意的是,在将现代元素注入民族传统文化的过程中,要避免为吸引受众而过度发挥,从而导致传统民族技艺和原有文化内涵的丧失。从一定意义上说,文化特色就是文化的价值和生命力。

(三)加强引导与监管,规范传播秩序与网络舆情

大众传播媒介在为大家展现民族生活、民族文化真善美提供便利的同时,也为散播一些不喜欢相关民族文艺、文化的负面心态提供了传播平台和助推力量,这种负面心态会因大众传播的影响范围广而得到聚集与放大。当前更需要警惕的是这种负面心态还容易演变成为一种不良群体意识,即借助大众传播媒介,受众在相关信息的传播中不断进行自我认知的交流和相互佐证,从而“加强了个体对内群体的认同感,也进一步强化了彼此的观点、看法,极化了彼此的情绪。另一方面也导致不平不满情绪在不同群体之间的蔓延与泛化”[18],这种群体极化现象的出现可能导致文化指摘乃至文化攻击。因此,在利用大众传播媒介进行民族文化传播的同时,政府及其相关部门要加强正面引导,防止涉民族因素的网络舆情出现。政府要加强对大众传播媒介的引导和监管,对大众传播媒介中不符合相关民族文化与形象的描述加以督促整改。政府要积极出台相关政策法规,确立大众传播媒介的相关运行规范和受众的传播规范等。对于已经发生的涉民族因素的网络舆情,政府需要及时作出处理,避免舆情扩大。

结语

2018年,习近平总书记在全国宣传思想工作会议上指出:“要加强传播手段和话语方式创新,让党的创新理论‘飞入寻常百姓家’。要扎实抓好县级融媒体中心建设,更好引导群众、服务群众。”[19]2019年1月25日,习近平总书记在就全媒体时代和媒体融合发展举行第十二次集体学习上又重申了融媒体的价值:“新形势下舆论生态、媒体格局、传播方式发生深刻变化,全媒体不断发展,出现了全程媒体、全息媒体、全员媒体、全效媒体,要积极创新媒体工作的理念、内容、手段,借助移动传播、人工智能等多种途径,催化融合质变,让党的声音传得更开、传得更广、传得更深入。”[20]可以说,融媒体时代的到来使得大众传播的优势更加凸显,其在拓展民族团结进步教育的文艺路径中也将发挥出更为积极的作用。因此,在新时代深化民族团结进步教育,要善于积极利用大众传播媒介的优势,将促进民族团结进步的政策信息、文化内容传达到更为广泛的人群,并通过文艺路径建设,以柔性的政策、知识、信息传导方式,让全社会成员了解多民族国情,知晓多民族的风俗,贴近多民族的生活,不断优化促成民族团结的社会心态。因为拥有良好的民族交流社会心态是“生成民族团结进步行动,形成民族团结进步局面的起点”[21]

参考文献:

[1][美]斯坦利·J·巴伦.大众传播概论:媒介认知与文化[M].刘鸿英译.北京:中国人民大学出版社,2005:10.

[2]中国大百科全书总编辑委员会编.中国大百科全书(社会学)[Z].北京:中国大百科全书出版社,2002:24.

[3]陶涵.新闻学传播学新名词词典[Z].北京:经济日报出版社,1997:36.

[4]成振珂.传播学十二讲[M].北京:新世界出版社,2016:114.

[5][美]杰伊·布莱克等,[中]张咏华.大众传播通论[M].上海:复旦大学出版社,2009:39.

[6][8]荆学民.政治传播简明原理[M].北京:中国传媒大学出版社,2015:89,131.

[7]Dan Nimon, Political Communication Theory And Research: An Overview in Brent D. Ruben. Communication Yearbook 1. London: Routledge,1977:445.

[9]中国互联网络信息中心.第43次中国互联网络发展状况统计报告[EB/OL](2019-02-28)[2019-03-17].http://cnn-ic.cn/gywm/xwzx/rdxw/20172017_7056/201902/t20190228_70643.htm.

[10][13]喻国明.从青少年抓起提高全民族的媒介素养[J].中国青年研究,2003(7).

[11]源贞.政治传播语境下政治人物公众形象的建构——基于建构主义的一种分析[J].新闻世界,2016(2).

[12][英]丹尼斯·麦奎尔.麦奎尔大众传播理论[M].崔保国,李琨译.北京:清华大学出版社,2006:47.

[14]严庆,姜术容.在涉及民族因素的知识、文化传播中消抑“过失无知”[N].中国民族报,2015-10-16.

[15]习近平.在文艺工作座谈会上的讲话[M].北京:人民出版社,2015:8.

[16]汪海燕.媒介融合背景下时政新闻报道的社交化——基于“两会喊你加入群聊”的分析[J].青年记者,2017(20).

[17]许敏佳.新媒体语境下大众传播与民族文化形象构建[J].贵州民族研究,2017(5).

[18]王村村.现阶段社会心态的主要特征及疏导对策[J].人民论坛,2014(8).

[19]新形势下宣传工作怎么做?习近平提出15字使命任务[EB/OL](2018-08-23)[2019-06-16].

[20]推动媒体融合向纵深发展做大做强主流舆论——习近平总书记在中共中央政治局第十二次集体学习上的讲话引发热烈反响[EB/OL](2019-01-28)[2019-06-16].

[21]严庆.促进民族团结进步与社会心态建设[J].湖北民族学院学报,2019(1).

责任编辑:张蒙