摘要:科学评估民族地区教育投入的质量,对民族地区教育事业的进步、经济社会的发展、各民族的共同繁荣具有深远意义。通过分析国家审计在促进民族地区教育投入质量的提升机理,总结出国家审计提升民族地区教育投入质量的路径为“事前风险防范、事中纠偏审计、事后绩效审计”,并以广西壮族自治区14个县级政府为实证研究样本,论证了民族地区教育投入质量的事后绩效审计具有可操作性。
关键词:国家审计;民族地区;教育投入质量;机理;路径
中共十八大、十九大报告都把科教兴国战略放在国家发展战略的首要位置,突出了中共中央对教育的重视。科教兴国战略有利于建设现代化强国,推进民族地区经济与社会持续发展,缩小其与发达地区的差距。尽管近年来我国民族地区教育水平有所上升,但由于地处偏远,科技水平滞后,教育基础薄弱,其教育质量和教学水平与发达地区存在较大差异。因此,我国对于民族地区的教育应该在加大投入的同时注重教育质量的评估,这对民族地区教育事业的进步、经济社会的发展、各民族的共同繁荣具有深远意义。
一、文献回顾
本文主要从教育质量研究、民族教育质量研究、国家审计与教育投入质量的关系研究三个方面来进行文献回顾。
(一)教育质量研究
我国教育发展呈现出城乡与地区发展不均衡的现象,具体表现为:乡村学生的基础教育质量明显低于城镇学生,中、西部教育质量低于东部[1]。教育经费的投入与经济增长质量呈正相关,加大教育经费的投入,有利于促进社会生产力的发展,提升经济质量[2]。另外,还应当重视教育经费使用的效率[3]。优化普通教育事权与支出责任,促使教育事业获得充足的资金和制度保障,迎合新时代教育发展[4]。
(二)民族教育质量研究
教育是民族振兴的基础,是推动社会进步的重要力量,民族教育是其中的一个重要部分。近年来,我国教育有所发展,但是由于众多原因,民族地区经济发展相对落后,对教育理念的不理解与不重视等,导致民族地区教育落后于其他地区,因此亟待改善民族教育落后的现状[5]。有些学者提出了相关对策:通过民族教育内部机制的完善,建立健全相关制度体系,完善国家对“少数民族高层次骨干人才计划”的相应规范[6];充分利用民族大学的优势发挥引领民族地区教育发展的作用;加大相关教育经费的投入[7]。
(三)国家审计与教育投入质量的关系研究
国家审计是对教育部门经费及其经济活动的真实性、合法性、绩效性进行评价的监督行为[8]。国家审计有利于构建适合中国教育现状的质量审计体制,从而实现审计资源在教育系统中的合理优化配置,并促进教育投入质量的提高[9][10][11]。
综上所述,目前我国教育发展呈现出不平衡的态势,有必要加大中、西部地区的教育投入,特别是要加大民族地区的教育投入,这样才能改变民族地区教育落后的现状。但是目前深入研究国家审计对教育投入质量提升的成果较少,本文从国家审计视角来论证民族地区教育投入质量提升的机理与实现路径。
二、国家审计促进民族地区教育投入质量提升的机理
国家治理机构接受公众的委托,通过管理国家财产资源和行使国家权力来使国家正常运转。审计作为镶嵌在国家治理体系中的一个部分,在国家治理体系中具有相对的独立性,在财产和政治权力领域内,其发挥权力制约和监督作用。促进国家良治是国家审计机关的重要任务和目标[12],国家审计是推动国家治理现代化的重要路径[13],应提供长远的价值增值,推进良好治理的整体性[14]。目前,国家审计应加大审计信息公开的力度,提高国家审计报告的透明度[15];重视改善审计建议数量和质量,采取加强经济责任审计、提高绩效审计比重和水平等,提高国家审计对国家治理的参与程序[16]。国家审计在国家治理体系中的能力结构如图1所示。教学质量的提高有利于解决地区间的贫富差距,有利于实现民族地区的振兴。县级政府涉及教育投入的主要部门有财政局、教育局和扶贫办等,用于教育的资金主要由财政局拨款给教育局和扶贫办。县级政府绩效考评办公室作为县级内部绩效评价部门对教育投入质量进行评价;县级审计局以相对独立的身份对教育资金使用的真实性、合法性和绩效进行审计,以此促使教育投入质量的提升。

图1分权理论下国家治理能力结构图
三、国家审计促进民族地区教育投入质量提升的路径
国家审计促进民族地区教育投入质量提升的目的是使资金的使用发挥其应有作用,对资金的使用全过程进行有效的监督。本文主要从以下三个方面论述国家审计促进民族地区教育投入质量提升的路径。
(一)事前风险防范
事前风险防范是指某一行动有多种可能的结果,而且事先能够估计采取某种行动可能导致的结果以及每种结果出现的可能性,但行动的真正结果究竟为何往往不能事先知道。这就要求县级审计局必须了解民族地区教育资金的流向及经过的机构(财政局、教育局、扶贫办、各级学校),并深入了解这些机构的职责与权力;要对教育资金流经的各机构的内部控制进行了解,必要时进行控制测试,检查这些机构针对教育资金流经的关键环节是否设置了控制点,如果没有设置控制点,或者设置了但控制无效,会出现什么风险以及如何应对等,所有这些县级审计局都要预先有所考虑。
(二)事中纠偏审计
事中纠偏审计是指在实施某一行动的过程中,审计机关紧紧围绕与该行动相关的重大政策措施落实的跟踪审计,对跟踪审计中发现的违法违纪行为及时纠偏。这就要求县级审计局深入了解教育资金流经各机构的职责与权力,以及这些机构是否存在违反教育政策,不按规定使用教育投入资金,甚至采用侵吞、私分或随意分配等手段非法占用教育投入资金的情况。县级审计局一旦发现教育投入资金流经各机构存在上述违法违规行为时,要及时纠偏扶正这些行为,并提请本级政府或上级审计机关追究财政局、教育局及扶贫办主要责任人的经济责任。
(三)事后绩效评价
事后绩效评价主要是对经济活动的经济性、效率性、效果性、环境性与公平性进行评价。对于教育投入质量的绩效审计必须首先审计教育资金使用的真实性、合法性。县级绩效考评办公室和县级审计局具有对教育投入进行绩效评价的责任,绩效办是县级政府专门负责绩效评价的内部部门,而县级审计局则以相对独立的第三方身份对教育投入的绩效进行审计。目前县级审计局对民族地区教育投入的“事前风险防范、事中纠偏审计”已经有所关注,但在实践中还没有专门针对县级政府教育投入质量的事后绩效审计,因此,迫切需要审计机关找到合适的方法对县级政府教育投入质量进行审计。本文将从投入与产出的角度,利用数据包络分析法重点地对广西民族地区教育投入质量进行绩效审计。数据来源、样本选择、变量定义与模型选取(1)数据来源和样本选择各县教育支出数据主要来源于广西壮族自治区2019年统计年鉴,其他数据来源于广西壮族自治区各市2019年统计年鉴。本文以广西壮族自治区14个县级政府(以英文字母代替)为样本,其中既有民族自治县(7个),也有非民族自治县(7个)。
(2)变量定义
投入变量:Y1=教育投入(万元);Y2=普通中学数(所);Y3=普通小学校(所);Y4=普通幼儿园(所);Y5=普通中学教师数;Y6=普通小学教师数,Y7=幼儿园的教师数。
产出变量:X1=中学学生数(人);X2=小学学生数(人);X3=幼儿园学生数(人)。
(3)模型选取
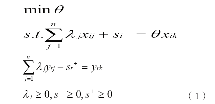
因为所选择的样本是有投入与产出变量的多单元样本的绩效审计,所以在本文中选择常用的DEA经典模型CCR。

图2 CCR投入导向模型
在模型中j=1,2,…,n;i=1,2,…,m;r=1,2,…,q。j是决策单元的数量,i是投入变量的个数,r是产出变量的个数。θ的倒数表示产出导向下的决策单元DMUk的生产效率。0≤θ≤1。
xij、yrj;是第j个DMU的投入和产出向量,xij、yrj是被评价对象DMUk的投人和产出向量。λj表示在构成DMUk的最佳参照对象时第j个DMU贡献的比例,即在每个指标上DMUj都会拿出第j个DMU贡献的比例,j个DMU各自拿出最优的比例为DMUk构建出一个虚拟的但是可以实现的最佳参照对象。松弛变量Si—和Sr+分别表示DMUk与最佳参照对象的投人产出状态相比,投人上多余的量和产出上缺少的量,通常被称作松弛变量。当最优解效率值θ等于1,松弛变量都等于0时,我们认为被评价的DMUk是DEA有效;当最优解效率值θ等于1,松弛变量不都等于0时,被评价的DMUk为弱DEA有效;当最优解效率值θ小于1时,则认为被评价的DMUk:为非DEA有效。

表3 CCR投入导向模型实证结果


C县的教育投人应当减少约904万元,才能有效;普通中学数量应当减少2所,才能有效;普通小学数量应当减少11所,才能有效;普通幼儿园数量应当减少1所,才能有效;普通中学教师数量应当减少32人,才能有效;普通小学教师数量应当减少26人,才能有效;小学学生数应当增加858人,才能有效。C县的这些未达到强有效的指标都达到强有效后,教育投人才有效。
G县的教育投人应当减少约8176万元,才能有效;普通中学数量应当减少7所,才能有效;普通小学数量应当减少8所,才能有效;普通幼儿园数量应当减少26所,才能有效;普通中学教师数量应当减少330人,才能有效;普通小学教师数量应当减少269人,才能有效;幼儿园教师数量应当减少2人,才能有效。G县的这些未达到有效的指标都达到有效后,教育投人才有效。
L县的教育投入应当减少约6043万元,才能有效;普通中学数量应当减少8所,才能有效;.普通小学数量应当减少6所,才能有效;普通幼儿园数量应当减少12所,才能有效;普通中学教师数量应当减少344人,才能有效;普通小学教师数量应当减少186人,才能有效;小学学生数应当增加2294人,才能有效;幼儿园.在校学生增加1235人,才能有效。L县的这些未达到有效的指标都达到强有效后,教育投人才有效。
B县、C县、G县、L县的径向变动与松弛变动的合计数是根据四舍五人的原则或现实情况决定的。
(2)CCR产出导向模型实证结果与分析由于CCR产出导向模型实证分析所得到教育投人有效的县级政府以及教育投人无效的县级政府与CCR投人导向模型实证分析所得到的结果—样;并且无效的县级政府的效率值也一样,仅是无效的县级政府相同变量的径向变动与松弛变动不同,所以本文就不再阐述CCR产出导向模型实证分析的结果,以避免重复。
B县的教育投人应当减少约4293万元,才能有效;普通中学数量应当减少1所,才能有效;普通中学教师数量应当减少98人,才能有效;幼儿园教师数量应当减少5人,才能有效;中学学生数应当增加1302人,才能有效;小学学生数应当增加973人,才能有效;幼儿园学生数应当增加384人,才能有效。B县的这些未达到强有效的指标都达到有效后,教育投入才有效。
C县的普通中学数量应当减少2所,才能有效;普通小学数量应当减少10所,才能有效;普通中学教师数量应当减少15人,才能有效;中学学生数应当增加341人,才能有效;小学学生数应当增加1346人,才能有效;幼儿园学生数应当增加229人。C县的这些未达到有效.的指标都达到有效后,教育投入才有效。
G县的普通中学数量应当减少5所,才能有效;普通小学数量应当减少2所,才能有效;幼儿园数量应当减少11所,才能有效;普通中学教师数量应当减少173人,才能有效;普通小学教师数量应当减少7人,才能有效;中学学生数应当增加3507人,才能有效;小学学生数应当增加5215人,才能有效;幼儿园学生数.应当增加2553人。G县的这些未达到有效的指标都达到强有效后,教育投人才有效。
B县、C县、G县、L县的径向变动与松弛变动的合计数也是根据四舍五人的原则或现实情况决定的。
五、结论与建议
本文研究了国家审计促进教育投人质量的作用机理,认为国家审计通过发挥其监督作用,.能够提升民族地区教育投人质量;研究了国家审计提升民族地区教育投人质量的路径,得出了“事前风险防范、事中纠偏审计、事后绩效_审计”是国家审计提升民族地区教育投人质量的路径。本文还以14个县级政府为样本,以Y1=教育投入(万元)、Y2=普通中学数(所)、Y3=普通小学校(所)、Y4=普通幼儿园(所)、Y5=普通中学教师数(人)、Y6=普通小学教师数(人)、Y7=幼儿园的教师数(人)这7个变量为投入变量;以X1=中学学生数(人)、X2=小学学生数(人)、X3=幼儿园学生数(人)这了个变量为产出变量分别构建CCR投入导向与产出导向的模型进行实证分析,实证结果表明14个县中有10个县的教育投人是有效的,有4个县的教育投入是无效的。7个民族自治县.中,有3个县的教育投人是无效的。
因此,当前政府应当在加强民族地区的教育投人质量监督的同时,要特别加强对民族自治县教育投人质量的监督。民族地区教育投入要提高质量,必须充分认识到国家审计在国家.治理体系中的“免疫系统”作用;必须借助国家审计力量对教育投入进行“事前风险防范、事中纠偏审计、事后绩效审计”,力求达到对民族地区教育投人的审计全覆盖,以此来提高民族地区的教育投人质量,并最终促进民族地区经济社会的发展。
参考文献:
[1]黄少安,姜树广.城乡公共基础教育均等化了吗?一对城乡基础教育财政支出和教育质量历史趋势的实证考察[D].社会科学战线,2013(7):80—85.
[2]詹新宇,刘文彬.中国财政性教育支出的经济增长质量效应研究:基于“五大发展理念”的视角[J].教育与经济,2019(2):46—57.
[3]周凡磬,曹蓉.中国公共教育支出的效率现状及动态效率研究[J].生产力研究,2013(9):42—45,205.
[4]孙开,王冰.政府间普通教育事权与支出责任划分研究:以提供公平而有质量的教育为视角[J].财经问题研究,2018(8):73—81.
[5]曹清波.公平视角下的少数民族教育发展对策研究[J].内蒙古师范大学学报(教育科学版),2014(7):1—3.
[6]张术麟.试论民族自治地方教育财政自治的基本内涵及教育财政投入体制的理论依据[J].民族教育研究,2007(4):80—85.
[7]吴勃.辽宁省城市少数民族基础教育现状调查与对策研究[D].满族研究,2015(6):29—34.
[8]李荟,张佳春.高校内部审计质量控制文献研究综述[J].财务与金融,2012(10):70—73.
[9]王善平,胡祥兵.政府审计对公共支出减贫成效的影响:基于H省51个贫困县面板数据的实证分析[J].财会月刊,2019(3):90—98.
[10]杜莹,贾森,阎银泉.高校内部审计质量、环境与后续教育现状思考:基于中、高级职称审计人员的调查分析[J].财会通讯,2015(4):92—94.
[11]汪雅霜,杨晓江.我国高等教育质量审计制度的建构:英国的经验与启示[J].现代教育管理,2011(11):49—51.
[12]HUSSAINM. The role of Pakistan's SAI in promoting good governance [J]. International Journal of Government Auditing, 2001(1):6—7.
[13]唐大鹏,王璐璐,常语萱.国家治理体系下审计结果公告信息披露质量的影响因素:基于2012——2015年省級数据分析[J].审计研究,2017(6):48—57.
[14]INTOSAI—Donor Secretariat. Audit of extractive industries: Drilling down into new spheres [J].International Journal of Government Auditing, 2013(3):25—27.
[15]周维培.从“鉴证”到“问责”:全球视野下国家审计服务国家治理的路径分析[J].审计研究,2019(4):3—10.
[16]崔雯雯,郑伟,李宁.国家审计服务国家治理的路径:基于2003——2014年间30个省(自治区、直辖市)的实证检验[J].江西财经大学学报,2018(3):38—47.
责任编辑:龚梁