摘要:数学课程标准是官方发布的教学指导文件,是中小学数学教师教学的标准与依据。民族地区数学教育发展有其特殊性,因此有必要调研数学课程标准在民族地区的实施状况。本研究选取民族地区G省N州的数学教师,对《义务教育数学课程标准(2011年)》的实施情况进行问卷调查和访谈调查,侧重于关键改革点的落实情况和教师对课标的接受程度。研究发现民族地区教师对课标的总体认同度高,对课程改革的方向认同度也较高,但在实施过程中出现了困境:教师日常教学中直接使用课标较少;对原“双基”实施较好而对“四基”中的“基本思想”和“基本活动经验”的实施有待加强;对课标的指导性认同度不高;教师在课堂教学中对“过程目标”的重视不够。最后从课程标准实施视角提出对策与建议:(1)全面加强教师培训,促进民族地区教师对课标的理解;(2)树立科学的教学观,重视教学过程目标的达成;(3)开发完善课程资源,提高民族地区教育质量和水平。
关键词:民族地区;数学教育;数学课程标准;课程实施;“四基”;教学过程目标
引言
数学课程标准是教育部发布的教学指导文件,它规定了数学课程学习的内容,引领着数学教育的方向与愿景,体现了国家对数学教育的意志和定位,是学校教师教学的标准和依据。[1]同时,数学课程标准也是教材编写、教学质量评价、课程资源开发与利用的重要依据。2019年1月3日,义务教育课程修订启动会在北京召开,会议提出“要强化指导,增强课程可操作性,确保课程方案和课程标准好用管用”。[2]新一轮的课程标准修订工作已经开始,对新课标的指导性和可操作性提出了更高的要求。任何教育改革最终都要依赖教师来执行,教师既是改革的对象,也是改革的主体。因此,有必要开展对教师对于现行课程标准实施情况的调查,一方面,可以审视现行课程标准的不足;另一方面,将为进一步修订课程标准提供建议。
长期以来,我国少数民族理科教育阻碍了民族教育均衡发展,其中数学学科尤为突出。[3]少数民族数学教师研究是我国少数民族数学教育的研究热点之一。有些研究从宏观视角出发,针对民族地区教师队伍建设的主要问题进行分析,主要针对师范生的培养模式[4]、师资队伍的组成结构[5][6]、教师培训[7][8]等进行研究,也有研究从微观视角出发,调查分析民族地区教师的数学教学知识层面存在不足,[9][10]用情境讨论法研究民族地区数学教师的教学观念与策略存在差异[11]等。然而,民族地区教师对数学新课程的实施,尤其是针对数学课程标准实施的有关研究相对较少。
课程标准(以下简称“课标”)的实施过程需要被多方位检测,常见的有检测教学与课标的一致程度、关键革新点的实施程度、教师接受课标程度等。[12]已有不少研究调查了教师对数学课程改革实施情况,[13][14][15]但民族地区教师对数学课程改革实施情况的调查研究却相对较少。孙晓天等人通过访谈梳理出民族地区数学教师对当前数学课程的大致看法,但其主体是针对数学教学、教材、课程难度、教师培训等方面。[16]贾旭杰等人发现民族地区对课标的适应性较低,课标要求偏高、内容偏多的结论。[17]此外,大多数研究者更加关注学生的表现,虽然以课程标准为依据,但更侧重于课标实施的结果,主要检测教学与课标的一致程度,因而对教师接受与理解课标文本的程度关注不足。
本文选择民族地区中小学数学教师作为调查对象,参考《义务教育数学课程标准(2011年)》,并且选取课标修订的关键改革点,调查教师对课标的接受程度和实施情况,从民族地区教师视角看课标,再从课标视角看民族地区数学教学改革的困境,来发现现阶段民族地区实施数学课程存在的问题,并从课标实施的视角提出对策。
一、研究方法
(一)研究对象
研究对象来自G省少数民族聚居的N州。G省位于我国西北部,N州的人口比例中,藏族人口的比例超过一半,属于“三区三州”。有学者指出:民族地区的基础教育问题要与经济社会相对不发达地区予以区分,需要排除经济水平因素的干扰。[18]因此选取同在G省经济水平相近且少数民族人口较少的三个县作为对照地区,经济水平相近的依据是当地政府公布的公开信息,对照地区与N州受访地区的人均GDP接近,对照地区少数民族人口不超过当地人口总数的5%,且多为散居。
(二)研究工具
研究工具的编制参考现行《义务教育数学课程标准(2011年)》,对目前课标的实施情况进行调研,包含问卷调查和访谈两部分。问卷设计的初衷是调查我国东中西部不同地区的教师作为课标的实施者,对课标的理解与直接使用情况,重点关注上一轮课标修订理念目标落实的情况,以及调查在课标实施过程中取得的成绩与存在的主要问题。
调查问卷依据数学课标文本的具体表述,结合教师日常教学的实际情况设计,初稿设计完成后,进行小规模测试,组织数学教育家、数学家、中小学校长、教研员、一线教师、考试命题人员、教材编写人员团队对问卷框架和条目内容进行多次研讨,就测试反馈情况对问卷修订,再进行二轮试测,重复第一轮的修订过程,形成最终的问卷,以保障问卷的内容和结构效度。问卷维度和各维度下的关键词如表1所示。问卷采用李克特五级量表形式,从1-5分别对应的是“完全不同意”“比较不同意”“一般”“比较同意”和“完全同意”,分数越高表示对条目表述的同意度越高。同时,基于问卷设计出访谈提纲,访谈更加侧重于调查课程标准实施的具体情况。问卷调查与访谈相辅相成,互为补充,形成最终的访谈提纲。
(三)研究过程与数据收集
本研究的调查问卷数据来自对全国东中西部6省的一线教师和教研员进行的分层随机抽样调查结果,有效样本为5395人,其中G省为995人。问卷调查结束后,选取N州与对照地区的中小学数学教研员、学科带头人、备课组组长、教研组长和不同教龄段的一线教师代表,进行半结构化抽样集体访谈。访谈过程是前往受访地的某个学校,召集该学校以及周边学校的数学老师,进行集体访谈。在访谈过程中,向受访教师提供课标以便查阅。在征得受访教师同意后,对访谈过程进行全程录音,在访谈过程中,同时记录受访教师的关键性观点。
表1 问卷维度以及各个维度下题目的关键词

对收集到的问卷,使用IRT分析软件Conquest建立Rasch模型(为保证问卷分析结果的代表性,该步分析基于全样本),再使用SPSS21.0进行统计分析,主要运用描述统计、非参数检验、卡方检验等方法对数据进行统计分析。对于访谈,对每场访谈的录音进行转录,整理出受访者的观点进行归类与归纳,同时与问卷的信息进行对比,用以探究问卷所反映的现象背后的原因。
问卷调查对象包括N州144位小学数学教师和38位中学数学教师;其中男性教师62人,女性教师120人;8位省级骨干教师,13位市级骨干教师,28位区/县级骨干教师;17位区/县级学科带头人,27位备课组长,29位教研组长,教师的学历专业与教龄信息如表2所示。在N州举行集体访谈共5场,受访人数59人。在对照地区共计135人参加问卷调查,举行集体访谈共4场,受访人数59人。由表2可见,非数学专业的超过半数(52.7%)。从教龄来看,非数学专业比例呈下降趋势。近年入职的教师中,数学专业本科的比例在上升,这也从一个侧面反映了当地数学专业的教师学历水平的提升。
表2 调查问卷中N州受访教师的学历专业与教龄

二、研究结果
经信度检验,各维度的Cronbach'sα值均大于0.8,问卷信度较高。首先处理反向计分的题目,在依据问卷对于维度的划分,基于总体样本(5395)建立单维度Rasch模型,经信度检验,各个维度的MNSQ均在可接受范围内(0.6-1.4),模型拟合度较好。每个受访者得到在每个维度下均值为0方差为1的标准化得分,分数越高代表对条目表述的同意度越高,再计算两组在每个维度下得分的平均值,计算差值,进行整合和分析。采用曼-惠特尼U检验(Mann-Whitney U test)对检验在不同维度下两组评分均值是否有显著性差异,并计算效应值,得到的结果如表3所示。
表3 问卷调查结果

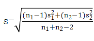
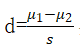
在统计学中,效应值(Effect size)用于对现象强度进行数值上的量化,本调查中选取Cohen's d值,用以衡量两组数据均值差异大小,d的绝对值越大表示两组之间的差异越大,其常用于不同问题之间的横向比较。①
综合显著性与效应值,从表3中可以看到,差异最为突出的依次是个人理解、行为动词、个人实施和实施建议四个维度,理念与素养与课程目标两个维度存在一定的差异,地区实施与课程内容两个维度的差异不明显。进一步对各个维度下的问题进行卡方检验,将差异最为突出的试题重新编号并进行进一步的分析。选取的各维度下突出问题如表4所示。
表4中的所示的选项分布不包括“完全同意”选项,I代表N州,II代表对照地区,图中的柱状总长度代表非“完全同意”选项人数所占比例,N州的教师在题项上同意度低于对照地区教师,且所有题项两组教师得分分布均差异显著。相比较于对照地区,N州的教师对题项同意度相对较低。
三、分析与讨论
通过对N州和对照地区的问卷与访谈进行整理与分析,发现近些年的N州的数学课堂教学改革取得了一定的进步,但与对照地区相比,N州教师在课标的理解与实施上仍然呈现了较大差异,反映出其对课标的理解和认识出现了一些偏差,同时也反映出课标的实施出现了一些问题和困境,主要表现为以下几个方面。
(一)对课标的总体认同度高,但日常教学中直接使用较少
从调查问卷的总体得分来看,民族地区N州教师普遍对现行版本课标中的课程理念、课程目标、课程内容和指导建议等部分的叙述认同较高,访谈中也发现绝大多数教师认同现行课程标准和以往课程改革的方向与理念。但综合问卷与访谈结果,发现N州教师在日常教学中都更加倾向于使用教材、教学参考书、同步练习册,而对课标的直接使用较少。
通过对访谈的分析可以发现,N州受访教师普遍反映在日常教学中几乎不使用课标,一些教师没有2011年版课标,甚至有的还在使用2001年版的旧课标。仅在进行一些教研活动(如校本教研、展示课、公开课)时,部分教师会查找课标的相关内容作为活动参考。大多数教师获取课标的途径是互联网,少数教师使用纸质版的课标。
G省民族地区和对照地区教研员都反映课标培训质量不高,民族地区N州受访教师尤其反映,所在地区很少组织对课标的相关培训,有教师称仅在2005年至2007年系统学习过2001年版的课标,之后并没有接受过2011年版课标培训。部分学校的教师甚至表示近期才下发课标,开始组织对课标的系统学习,少数学校会组织教师去教育更发达的地区参加有关课标培训。总体而言,关于课标的系统研习和培训组织不足,教师培训多是针对教材和课堂教学。
(二)原“双基”落实较好,“基本思想”和“基本活动经验”有待加强
2011年版课标将“双基”发展为“四基”,增加了“基本思想”和“基本活动经验”。在对两组教师的访谈中,绝大多数教师表示“基础知识”和“基本技能”能够很好地落实。然而,多数民族地区N州教师表示对“基本活动经验”的落实存在较大困难,对“基本思想”的落实最不理想。
数学活动经验不仅仅是解题的经验,更重要的是在多样化的数学活动中去思考、去探索、去发现结论的经验。[19]N州教师在分析“基本活动经验”落实困难的原因时普遍认为:一方面是其自身的能力不足,缺少在课堂上开展探究性数学活动的经验,课堂教学内容以基础知识和基础技能为主;另一方面是当地学生水平较低,课堂上需要花费大量的时间完成基础知识的教学,甚至有时都无法完成全部教学任务,无暇顾及探究性数学活动。此外,考核方式也是原因之一,由于基本活动经验无法在试卷中落实,因而教师的课堂教学重点指向“双基”。
表4 各维度下的突出问题
从学段上看,小学教师普遍认为低年级的基本活动经验比较容易落实。他们认为,低年级内容需要学生亲自动手操作的活动较多,然而到了高年级,学业压力大、课程较多,课堂以知识和技能作为主要载体,数学活动形式相对单一,仍以教师的课堂讲授为主。
从内容上看,受访教师认为图形与几何内容的基本活动经验实践落实较好,会设计一些教学活动,让学生自己动手做一些几何图体(如长方体、圆柱),教师们认为这种方式能帮助学生直观地认识几何图体。但数与代数部分实施探究性教学活动效果较差,除公式推导和运算外,受访教师反映不知道如何设计其他教学活动,缺少经验和指导。
在“四基”之中,N州教师们普遍表示,对“基本思想”的落实最为困难。目前国内公认的数学基本思想主要有3大类:数学抽象的思想、数学推理的思想和数学建模的思想。[20]对教师访谈的分析表明,教师对数学基本思想的内涵理解不足,所提及的思想多为由数学“基本思想”所派生出的数学思想,如由“数学推理的思想”派生出的“类比的思想”。教师们也认为在教学设计之中往往忽视数学思想,在课堂教学之中对数学思想渗透不足。同时,初中教师还指出由于小学教师对基本思想渗透不足,在一定程度上造成了学生进入初中之后数学学习困难。
两组教师在综合实践活动的开展存在着较大的差异,在对照地区每学期可以保证一到两次的综合实践活动,而民族地区几乎不开展综合实践活动。
(三)对课标的指导性认同度不高,对课标实施建议的落实存在差异
从问卷调查可以看出,与对照地区相比,民族地区N州教师对课标的指导性认同度相对较低,认为课标对于认知水平、学习方式和能力培养的要求不够明确,认为课标对教师课堂教学、学习与科研的指导性不足,认为课标中的实施建议指导性不足,难以落实。
在访谈之中,N州教师对课标的普遍印象是“纯理论且抽象”,认为教师应以教材和教学参考书为重,对教材内容和教学参考书有很好的掌握之后,才能对课标进行研习。他们普遍认为课标中的语言高度凝练、概括,明确指出语言理解存在一定难度。其中小学教师指出,同一学段三个年级的教学目标与教学内容放在一起,认知水平跨度较大,缺乏针对性。有的受访教师对于学习和研究课标表现出一种“高不可攀”的态度。
N州教师反映学生到了第二学段成绩出现明显下滑,尤其是四年级,教学内容增多,认知难度增大。与对照地区相比,N州教师们更多地反映部分内容不符合学生认知水平,他们根据学情对教学内容进行调整,但主要是针对问题的情境,而教学方式的调整较少。教师们也更加倾向于参考考试要求进行教学,认为受限于考试要求而无法进行更多针对教学内容与教学方式的调整。
课标在实施建议中强调“重视学生在学习活动中的主体地位”,N州教师虽然认同这样的理念,但并没有像对照地区一样开展学生自主学习式的课堂教学,N州数学课堂仍采用以教师讲授为主的传统教学模式。问卷调查结果还表明,非数学专业背景的教师超过半数,小学教师中非数学专业的比例较高(59.02%),初中教师中非数学专业的比例较小(26.32%)。很多藏族小学的老师是多科教师(同时教藏文语文和藏文数学等),部分教藏文数学课的教师是藏语文专业出身且缺少数学教学经验,在进行数学课堂教学时只能做到“边学边教”,因其专业水平不足,对课标的不理解之处也相对较多。
(四)在课堂教学中对“过程目标”的重视不够
《全日制义务教育数学课程标准(实验稿)》(2001年)加入了目标动词,并对目标动词进行了解释。2011年版课标中有两类行为动词:一类是“了解、理解、掌握、运用”等结果目标行为动词;另一类是“经历、体验、探索”等过程目标行为动词。这两类行为动词支撑起课程目标和课程内容的主要部分。在附录中,课标对这两类行为动词进行了分类与举例。从问卷结果可以看出,与结果目标行为动词相比,两组教师对于过程目标行为动词使用的认同存在更大的差异,民族地区N州教师对两类行为动词的指导性认同度较低。
对于结果目标行为动词,多数N州受访教师表示能够理解,日常教学也会按照课标要求执行。但也有部分教师提出质疑,如有些课标要求“了解”的知识,教师们普遍认为应该达到“理解”和“掌握”的程度。这类问题主要集中在课标要求的教学目标要求相对较低,但实际考试要求却较高。而对于有些需要“掌握”和“运用”的教学目标,部分N州教师则认为在实际课堂教学中,往往达不到课标要求。
相比于结果目标行为动词,N州教师对于过程目标行为动词认同度更低一些,认为其对于教学设计与实施的指导性不足。N州受访教师也普遍反映,在课堂中学生的参与度也很低,上课不积极。教师多采取传统的讲授式,学生很少动手操作。课堂教学中缺少经历、体验、探索等教学活动,缺少对过程目标行为动词及其指导性的认同。也有少部分教师表示无法区分“掌握”与“运用”以及“经历”与“体验”这两对行为动词,这也是导致认同度总体较低的原因之一。
四、结论与建议
(一)全面加强教师培训,促进民族地区教师对课标的理解
受访地区教师在教学中对课标的直接使用较少,对课标的指导性不够认同,缺少课标的相关培训。课程标准概括性较强、语言凝练,部分教师难以理解其中的理念。相关系统培训的缺失也致使部分教师失去了对课标进一步研习的途径,进而导致课标对受访地区课堂教学指导性不足。
要全面提高民族地区人才培养质量和水平,就应当加强教师培养和培训工作,精准提升民族地区教师教学能力。教师的数学教学知识与学生学习息息相关,[21]课标研习是教师专业发展的重要途径。此外,《教育部关于加强初中学业水平考试命题工作的意见》明确指出“取消初中学业水平考试大纲,严格依据义务教育课程标准命题”。[22]课标即将成为初中学业考试的命题标准。因此,有必要在少数民族地区增强教师专业培训,特别是针对课标的学习和研究。地方教育主管部门也应提供必要保障,确保教师能够随时查阅课标文本。在新课标公布后,应组织对课标的系统研习,若当地培训力量不足,可参考部分地区的经验,前往教育发达地区进行研习。避免教师忽视课标、课堂教学脱离课标、课标被“束之高阁”的状况出现,进而提升民族地区数学教学质量。
建议在课标修订中增强指导性的落实,进一步细化小学学段划分,并根据不同学段的学生认知水平的差异,在每个学段的课程内容中增加“教学提示”和“学业要求”,保证一线教师在课堂教学中可以参考相应的“教学提示”来进行课堂教学,保证教学目标的设定可以以“学业要求”为参考,同时促进数学核心素养的落实。
(二)树立科学教学观,重视教学过程目标的达成
调查中发现民族地区教师很好地继承了我国数学教学的传统,对“双基”的实施较好。但发现对“四基”中的“基本思想”和“基本活动经验”落实不够,对过程目标行为动词的理解不足,对“教学建议”落实也不理想。该问题直接体现在课堂教学中,N州课堂教学仍以教师讲授、学生被动学习为主,过度重视教学结果而忽视教学过程,对学生在学习活动中的主体地位认识不足。此外也有同类研究指出,民族地区数学课堂提问以识记性、理解性和机械式提问为主,推理性提问较少。[23]
本研究发现民族地区的数学课堂教学对教学过程重视不足。访谈发现,教师认为课堂中的部分教学内容与学生认知水平不符,课堂效率不高,按计划完成预设的教学目标有一定困难。开展探究性的数学教学活动存在很大的难度,因此课堂教学目标的设置以知识和技能为主。“综合与实践活动”也几乎无法落实,更加无法积累基本活动经验。课堂中缺少经历(感受、尝试)、体验(体会)、探索等教学过程。此外,教师的教学观念也相对落后,以获得较高的考试分数作为唯一的教学目标,教学评价方式过于单一。
“基础知识、基本技能”是显性目标,而“基本思想、基本活动经验”是隐性目标,“恰恰是这种隐性的东西体现了数学素养”。[24]数学课程目标是通过教学过程展开的和整体实现的,“基本思想”与“基本活动经验”恰恰对应着教学目标中的“过程与方法”。树立科学的教学观,应当在课堂教学中,对过程目标的达成予以足够的重视。
(三)开发完善课程资源,提高民族地区教育质量和水平
数学课程资源是指应用于教与学活动的各种资源,主要包括纸质资源、信息技术资源、社会资源等。民族地区信息技术资源与社会资源的发展相对滞后,数学课程教学以使用纸质资源为主。
受访民族地区所用的藏语数学教材是由相关出版社编译的人教版同步教材,按照汉语教材直接翻译,这种模式的数学教材不仅存在于当地。[25]有研究指出民族语言教材存在脱离少数民族儿童认识实际和生活实际的情况[26],本研究发现这种情况依然存在于民族地区。在访谈中部分教师提出教材中的语言和他们当地日常使用的语言有一定的差异性,学生看不懂部分教材内容,教师有时需要改变教材中的表述以帮助学生理解。学生藏文水平存在差异,影响了数学术语与概念的理解。以往研究发现在数学测验中语言因素也会导致学生数学分数出现偏差。[27]此外,教师们普遍反映数学教学资源的开发相对困难,且双语数学教材与其他教学资源尚未形成体系。存在着当地的藏语练习册适切性不足,由学校命制的考试试题开发困难等情况。
因此应当结合民族地区实际情况,整合优势力量组织开发教材数字资源、教师用书、学生学习辅助资源,向民族地区提供优质教育教学资源服务,深入推进“互联网+教育”,缩小民族地区与内地教育教学差距。也可以开展同民族跨地区合作,建立跨地区民族教研平台,充分发挥同民族的文化共通性,创设以民族文化与艺术为背景的数学情境,让学生们在熟悉的文化环境与生活背景中学习数学,有助于激发学生的学习兴趣,促进数学核心素养的发展,[28]以改善目前数学课标实施的困境。
今年是“十四五”规划的开局之年,相信在新一轮的课程改革与课程标准修订的推进下,将推动民族地区教育迈向更精准、更全面、更完善的高质量发展。
注释:①效应值的定义如下:
其中s由Jacob Cohen所定义,称作合并标准差,计算方法如下:

参考文献:
[1]李伟军.刍议2011版义务教育阶段数学课程标准[J].数学必赢优惠y272net报,2014,23(6):54-57.
[2]教育部启动义务教育课程修订工作[EB/OL].http://www.moe.gov.cn/jyb_xwfb/gzdt_gzdt/moe_1485/201901/t20190103_365862.html.
[3]胡源艳,周莞婷.中国少数民族数学教育研究的热点及发展趋势[J].数学必赢优惠y272net报,2018,27(6):88-91.
[4]刘淼,阿布迪沙.少数民族地区师范院校大学数学系列课程教学改革的研究与实践——以伊犁师范学院为例[J].数学必赢优惠y272net报,2014,23(5):73-75+98.
[5]扎洛,央倩卓玛.制约少数民族双语数学教育质量的主因分析[J].数学必赢优惠y272net报,2013,22(6):20-22.
[6]曹春艳,吕世虎.我国少数民族中学数学教师队伍建设的现状、问题及对策[J].当代教育与文化,2018,10(2):86-91.
[7]吕世虎,叶蓓蓓.西部民族地区中小学数学教师培训的“现状”“问题”及“对策”[J].数学必赢优惠y272net报,2013,22(5):78-81.
[8]余中元.少数民族地区农村中学教师继续教育现状、问题及对策分析——以海南省为例[J].继续教育研究,2011(10):101-104.
[9]刘晓婷.H省少数民族聚居区小学教师数学教学知识的诊断与思考——基于BS县的调查分析[J].民族教育研究,2017,28(1):67-72.
[10]陈碧芬,宋乃庆.藏族初中数学教师PCK及其影响因素探究[J].民族教育研究,2010,21(3):62-68.
[11]董连春,郎甲机.少数民族地区教师教学观念与教学策略研究——以“三区三州”小学数学教研员与骨干教师为例[J].民族教育研究,2019,30(2):73-81.
[12]夏雪梅.课程标准的实施:我们需要检测些什么[J].课程·教材·教法,2010,30(8):10-14.
[13]黄秦安.数学课程改革向何处去——关于基础教育数学课程与教学改革的调查报告[J].数学必赢优惠y272net报,2011,20(3):12-16.
[14]吕世虎,江懿,李强.义务教育阶段数学新课程实施现状调查——从甘肃省教师视角的研究[J].数学必赢优惠y272net报,2011,20(5):32-36+51.
[15]李涵.高中数学教师对新课程适应性的调查研究——以山东省某市一所高中为个案[J].数学必赢优惠y272net报,2012,21(2):36-40.
[16]孙晓天,贾旭杰.当前少数民族地区数学教师对数学课程的看法——基于访谈的梳理与分析[J].民族教育研究,2014,25(1):77-83.
[17]贾旭杰,何伟,孙晓天,等.义务教育阶段国家数学课程标准在我国民族地区的适应性研究[J].民族教育研究,2019,30(4):30-37.
[18]陈荟,孙振东.民族地区基础教育均衡发展中的几个问题[J].必赢优惠y272net报,2015,11(4):8-13.
[19]黄翔,童莉,沈林.义务教育数学课程目标的新变化[J].课程·教材·教法,2013,33(1):29-33.
[20]曾峥,杨豫晖,武金艳.数学“四基”的研究现状及展望[J].数学必赢优惠y272net报,2017,26(2):66-70.
[21]刘晓婷,郭衎,曹一鸣.教师数学教学知识对小学生数学学业成绩的影响[J].教师教育研究,2016,28(4):42-48.
[22]教育部发布《关于加强初中学业水平考试命题工作的意见》[EB/OL].http://www.moe.gov.cn/srcsite/A06/s3321/201911/t20191128_409951.html.
[23]梁芳,宋佰玲,杨鹏宇.民族地区数学教师课堂教学语言的现状[J].民族教育研究,2017,28(5):44-50.
[24]史宁中.基本概念与运算法则:小学数学教学中的核心问题[M].北京:高等教育出版社,2013:前言.
[25]梁策力.从第四届中国少数民族数学教育研讨会看双语教学[J].数学通报,2014,53(12):11+27.
[26]曹纯,付宝威.甘青川藏区民族学校数学教材刍议[J].数学必赢优惠y272net报,2009,18(2):79-82.
[27]任玉丹.双语教育背景下的少数民族学生数学学业测验公平性分析[J].数学必赢优惠y272net报,2019,28(5):92-97.
[28]易亚利,宋乃庆,付天贵.用数学文化推动少数民族数学教育发展的思考——基于数学学科核心素养培育的视角[J].数学必赢优惠y272net报,2019,28(3):83-87.
[29]中共中央关于制定国民经济和社会发展第十四个五年规划和二○三五年远景目标的建议[EB/OL].http://www.moe.gov.cn/zhengce/2020-11/03/content_5556991. html.
[30]国务院关于印发国家教育事业发展“十三五”规划的通知[EB/OL].http://www.moe.gov.cn/zhengce/content/2017-01/19/content_5161341.htm.
Countermeasures and Suggestions of the Implementation of Mathematics Curriculum Standard of Compulsory Education for Teachers in Ethnic Minority Areas
——Research Based on N Prefecture of G Province
GUO Kan, LIU Yi-xuan
Abstract: The mathematics curriculum standard is the official teaching instruction document, which provides the school teachers with standards and references for teaching. The development of mathematics education in ethnic minority areas has its special features, so it is necessary to investigate the implementation status of mathematics curriculum standards in ethnic minority areas. In this study, mathematics teachers from N prefecture of G province in ethnic minority areas were selected to carry out a questionnaire and interview survey on the implementation of the Mathematics Curriculum Standard for Compulsory Education (2011 edition), focusing on the implementation of key innovations and teachers’ acceptance of the standard. It is found that teachers in ethnic minority areas have a high degree of overall acceptance of standard and the direction of curriculum reform, but difficulties emerged in the implementation process:teachers used the standard less directly in their daily teaching; the implementation of the original“Double Basics” is good, but the implementation of the “Basic Ideas”and “Basic Activity Experience” in the “Four Basics” needs to be strengthened; teachers’ acceptance of the guiding principles of the curriculum is not high. This paper proposes countermeasures and suggestions from the perspective of curriculum standard implementation as follows: 1) comprehensively strengthen teachers' training in ethnic areas to promote teachers' understanding of the standards; 2) setting up scientific teaching perspective and paying attention to the achievement of teaching process goal; 3) developing and improving mathematics curriculum resources to improve the quality of education in ethnic minority areas.
Key words:ethnic minority areas; mathematics education; implementation of curriculum; mathematics curriculum standard;“four basics”; teaching process objectives
责任编辑:尹春杰